Ostatnia aktualizacja :
17/12/2025
Lek cytostatyk   Cabazitaxel  
Injekcje
Trwałość roztworów Trwałość w mieszaninie Czynnik wpływający na trwałość Zgodność Sposób podania Bibliografia pdf
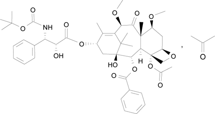
   Struktura chemiczna  

Nazwa handlowa   Nazwa handlowa     

Trade names are indicative and excipients composition can be different depending on the country and manufacturers

Cabazil Argentyna
Cabazitaxel Dania, Finlandia, Hiszpania, Niemcy
Cecalter Argentyna
Jevtana Argentyna, Australia, Belgia, Brazylia, Chile, Dania, Ekwador, Finlandia, Francja , Hiszpania, Islandia, Kanada, KolumbiaKolumbia, Malezja, Meksyk, Niemcy, Norwegia, Peru, Rumunia, Stany Zjednoczone Ameryki, Szwajcaria, Słowenia, Turcja, Wielka Brytania, Włochy
Proazitax Brazylia
Xatiza Chile
Zitat Argentyna
Trwałość w mieszaninie   Injekcje   Trwałość w mieszaninie : Cabazitaxel     
Brak danych

  Mentions Légales