Cập nhật lần cuối :
17/12/2025
thuốc trị ung thư   Cabazitaxel  
Dạng tiêm
Tính ổn định của các dung dịch Độ ổn định khi trộn lẫn Những yếu tố ảnh hưởng đến độ ổn định Khả năng tương thích Đường dùng Tài liệu tham khảo Pdf
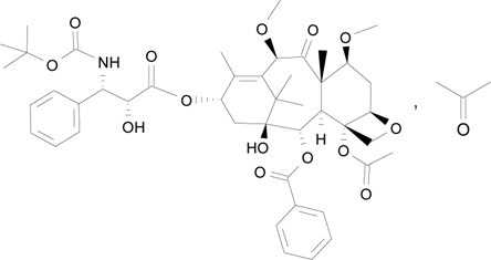
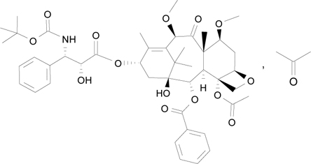
   Cấu trúc hóa học  

Tên thương mại   Tên thương mại     

Các tên thương mại được cung cấp và thành phần tá dược có thể khác nhau giữa các quốc gia và các hãng dược

Cabazil Argentina
Cabazitaxel Phần Lan, Tây Ban Nha, Đan Mạch, Đức
Cecalter Argentina
Jevtana Anh, Argentina, Bỉ, Brazil, Canada, Chile, Colombia, Ecuador, Hoa Kỳ, Iceland, Malaysia, Mexico, Na Uy, Peru, Phần Lan, Pháp, Romania, Slovenia, Tây Ban Nha, Thổ Nhĩ Kỳ, Thụy Sỹ, Úc, Ý, Đan Mạch, Đức
Proazitax Brazil
Xatiza Chile
Zitat Argentina
Tài liệu tham khảo   Dạng tiêm   Tài liệu tham khảo : Cabazitaxel  
Loại Nguồn
3237 Thông tin của nhà sản xuất Cabazitaxel (Jevtana®) - Résumé des caractéristiques du produit.
Sanofi Aventis France 2011
3804 Tạp chí Lazzarini R, Salvadori S, Trapella C, Guerrini R, Marzola E, Pasini G, Dalpiaz A.
Physicochemical stability of cabazitaxel and docetaxel solutions.
EJHP 2014 ;22:150-155.
4761 Tạp chí D'Huart E, Sacrez M, Vigneron J, Demoré B.
Physicochemical stability of Cabazitaxel Zentiva® solution in vials after opening and diluted- solutions in three infusion bags.
Pharmaceutical Technology in Hospital Pharmacy 2023 ; 8(1): 20220009
4800 Poster H Ma N, Law S, Walker S.
Stability of Dr.Reddy’s Cabazitaxel Following Reconstitution with Manufacturer’s Diluent & Dilution with Sodium Chloride and Dextrose 5% in non-PVC non-DEHP bags and Original Glass Vials at 25°C, 4°C and -20°C.
2023

  Mentions Légales