آخر تحديث :
17/12/2025
المضادة للسرطان المخدرات   Cabazitaxel  
حقن
الاستقرار في حلول استقرار مخاليط العوامل التي تؤثر على الاستقرار التوافق طريقة التعاطي مراجع pdf
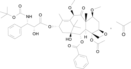
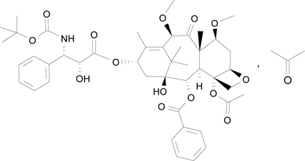
   التركيب الكيميائي  

حجز الاسم التجاري   حجز الاسم التجاري     

تحذير الأسماء التجاريه المختلفه قد تحتوي علي محتوي إضافات مختلفة حسب الدوله و المعمل

Cabazil الأرجنتين
Cabazitaxel ألمانيا, إسبانيا, الدنمارك, فنلندا
Cecalter الأرجنتين
Jevtana أستراليا, ألمانيا, أيسلندا, إسبانيا, إيطاليا, الأرجنتين, الإكوادور, البرازيل, الدنمارك, المكسيك, النرويج, الولايات المتحدة, بريطانيا العظمي, بلجيكا, بيرو, تركيا, تشيلي, رومانيا, سلوفينيا, سويسرا, فرنسا, فنلندا, كندا, كولومبيا, ماليزيا
Proazitax البرازيل
Xatiza تشيلي
Zitat الأرجنتين
مراجع   حقن   مراجع : Cabazitaxel  
نوع منشور
3237 مختبر Cabazitaxel (Jevtana®) - Résumé des caractéristiques du produit.
Sanofi Aventis France 2011
3804 مجلة Lazzarini R, Salvadori S, Trapella C, Guerrini R, Marzola E, Pasini G, Dalpiaz A.
Physicochemical stability of cabazitaxel and docetaxel solutions.
EJHP 2014 ;22:150-155.
4761 مجلة D'Huart E, Sacrez M, Vigneron J, Demoré B.
Physicochemical stability of Cabazitaxel Zentiva® solution in vials after opening and diluted- solutions in three infusion bags.
Pharmaceutical Technology in Hospital Pharmacy 2023 ; 8(1): 20220009
4800 الملصق H Ma N, Law S, Walker S.
Stability of Dr.Reddy’s Cabazitaxel Following Reconstitution with Manufacturer’s Diluent & Dilution with Sodium Chloride and Dextrose 5% in non-PVC non-DEHP bags and Original Glass Vials at 25°C, 4°C and -20°C.
2023

  Mentions Légales