Последнее обновление :
17/12/2025
Цитостатическое средство   Cabazitaxel  
Инъекция
Стабильность растворов Стабильность смесей Факторы, которые влияют на стабильность Совместимость Способы введения Библиография pdf
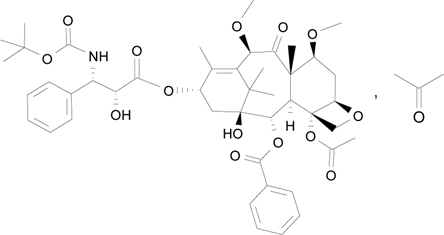
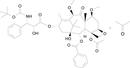
   Химическая структура  

Товарное название   Товарное название     

Trade names are indicative and excipients composition can be different depending on the country and manufacturers

Cabazil Аргентина
Cabazitaxel Германия, Дания, Испания, Финляндия
Cecalter Аргентина
Jevtana Австралия, Аргентина, Бельгия, Бразилия, Великобритания, Германия, Дания, Исландия, Испания, Италия, Канада, Колумбия, Малайзия, Мексика, Норвегия, Перу, Румыния, Словения, Соединённые Штаты Америки, Турция, Финляндия, Франция, чили, Швейцария, Эквадор
Proazitax Бразилия
Xatiza чили
Zitat Аргентина
Библиография   Инъекция   Библиография : Cabazitaxel  
тип публикация
3237 Лаборатория Cabazitaxel (Jevtana®) - Résumé des caractéristiques du produit.
Sanofi Aventis France 2011
3804 Журнал Lazzarini R, Salvadori S, Trapella C, Guerrini R, Marzola E, Pasini G, Dalpiaz A.
Physicochemical stability of cabazitaxel and docetaxel solutions.
EJHP 2014 ;22:150-155.
4761 Журнал D'Huart E, Sacrez M, Vigneron J, Demoré B.
Physicochemical stability of Cabazitaxel Zentiva® solution in vials after opening and diluted- solutions in three infusion bags.
Pharmaceutical Technology in Hospital Pharmacy 2023 ; 8(1): 20220009
4800 плакат H Ma N, Law S, Walker S.
Stability of Dr.Reddy’s Cabazitaxel Following Reconstitution with Manufacturer’s Diluent & Dilution with Sodium Chloride and Dextrose 5% in non-PVC non-DEHP bags and Original Glass Vials at 25°C, 4°C and -20°C.
2023

  Mentions Légales