Letztes “update” :
17/12/2025
Antikrebsmittel   Cabazitaxel  
Injektion
Stabilität der Lösung Gemengestabilität Stabilitätbeeinflussende Faktoren Kompatibilitäten Applikationsart Literaturverzeichnis pdf
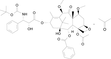
   Chemische Struktur  

Handelsmarke   Handelsmarke     

Handelsnamen sind als beispielhaft anzusehen. Sonstige Bestandteile können je nach Hersteller oder Land verschieden sein

Cabazil Argentinien
Cabazitaxel Dänemark, Deutschland, Finnland, Spanien
Cecalter Argentinien
Jevtana Argentinien, Australien, Belgien, Brasilien, Chile, Dänemark, Deutschland, Ecuador, Finnland, Frankreich, Großbritannien, Island, Italien, Kanada, Kolumbien, Malaysia, Mexiko, Norwegen, Peru, Rumänien, Schweiz, Slowenien, Spanien, Türkei, Vereinigte Staaten von Amerika
Proazitax Brasilien
Xatiza Chile
Zitat Argentinien
Literaturverzeichnis   Injektion   Literaturverzeichnis : Cabazitaxel  

  Mentions Légales