Poslední aktualizace :
17/12/2025
rakovina drog   Cabazitaxel  
injekce
Stabilita roztoků Stabilita směsí Faktory ovlivňující stabilitu Kompatibilita Způsoby aplikace Odkazy pdf
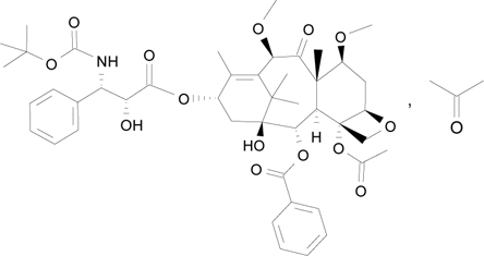
   Chemický vzorec  

Obchodní název   Obchodní název     

Trade names are indicative and excipients composition can be different depending on the country and manufacturers

Cabazil Argentina
Cabazitaxel äpanÏlsko, Dánsko, Finsko, NÏmecko
Cecalter Argentina
Jevtana äpanÏlsko, Argentina, Austrálie, Belgie, BrazÌlie, Chile, Dánsko, Ekvádor, Finsko, Francie, Island, Itálie, Kanada, Kolumbie, Malajsie, Mexiko, NÏmecko, Norsko, Peru, Rumunsko, Slovinsko, Švýcarsko, Turecko, USA, Velká Británie
Proazitax BrazÌlie
Xatiza Chile
Zitat Argentina
Odkazy   injekce   Odkazy : Cabazitaxel  

  Mentions Légales