Senaste uppdateringen :
17/12/2025
cancerläkemedel   Cabazitaxel  
injektion
Lösningars stabilitet Stabilitet i blandningar Faktorer som påverkar stabiliteten Kompatibilitet Administreringssätt Hänvisningar pdf
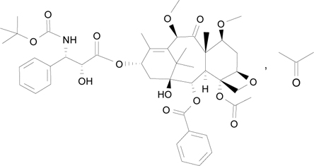
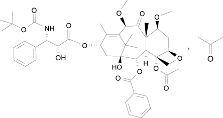
   Molekylstruktur  

Varunamn   Varunamn     

Angivna handelsnamn på läkemedel är enbart vägledande då formulering inklusive hjälpämnen kan variera mellan länder och tillverkare

Cabazil Argentina
Cabazitaxel Danmark, Finland, Spanien, Tyskland
Cecalter Argentina
Jevtana Argentina, Australien, Belgien, Brasilien, Chile, Colombia, Danmark, Ecuador, Finland, Förenta Staterna, Frankrike, Island, Italien, Kanada, Malaysia, Mexiko, Norge, Peru, Rumänien, Schweiz, Slovenien, Spanien, Storbritannien, Turkiet, Tyskland
Proazitax Brasilien
Xatiza Chile
Zitat Argentina
Hänvisningar   injektion   Hänvisningar : Cabazitaxel  
Typ Publikation
3237 Laboratorium Cabazitaxel (Jevtana®) - Résumé des caractéristiques du produit.
Sanofi Aventis France 2011
3804 tidningen Lazzarini R, Salvadori S, Trapella C, Guerrini R, Marzola E, Pasini G, Dalpiaz A.
Physicochemical stability of cabazitaxel and docetaxel solutions.
EJHP 2014 ;22:150-155.
4761 tidningen D'Huart E, Sacrez M, Vigneron J, Demoré B.
Physicochemical stability of Cabazitaxel Zentiva® solution in vials after opening and diluted- solutions in three infusion bags.
Pharmaceutical Technology in Hospital Pharmacy 2023 ; 8(1): 20220009
4800 affisch H Ma N, Law S, Walker S.
Stability of Dr.Reddy’s Cabazitaxel Following Reconstitution with Manufacturer’s Diluent & Dilution with Sodium Chloride and Dextrose 5% in non-PVC non-DEHP bags and Original Glass Vials at 25°C, 4°C and -20°C.
2023

  Mentions Légales