Останнє оновлення :
18/03/2026
Антибіотик   Gentamicin sulfate  
Очні краплі
ін'єкція
Стабільність фармацевтичних препаратів Стійкість сумішей Фактори, що впливають на стабільність Сумісність Список літератури pdf
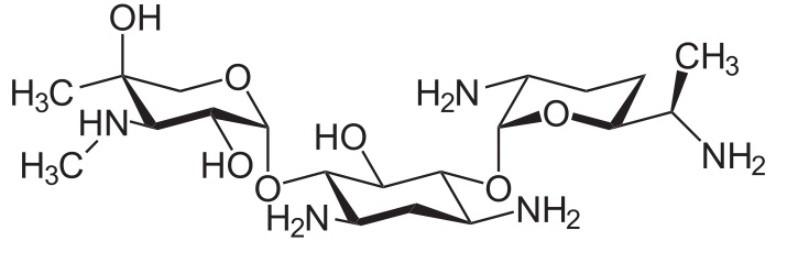
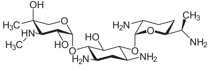
   Хімічна структура  

Очні краплі
Список літератури   Очні краплі   Список літератури : Gentamicin sulfate  
Тип Публікація
2487 журнал McBride HA, Martinez DR, Trang JM, Lander RD, Helms HA.
Stability of gentamicin sulfate and tobramycin sulfate in extemporaneously prepared ophthalmic solutions at 8 degrees C
Am J Hosp Pharm 1991 ; 48: 507-509.
2547 журнал Ho PC, Soh H, Lim SM, Yow KL.
Stability of extemporaneously prepared gentamicin ophthalmic solutions.
Ann Pharmacotherapy 2001 ;35:1293-1294.

  Mentions Légales