Son güncelleme :
18/03/2026
Antibiyotik   Gentamicin sulfate  
Göz damlası
Enjeksiyon
Farmasötik preparatlar Kararlılığı Karışımlardaki stabilitesi Stabiliteyi etkileyen faktörler Uyumluluk Kaynaklar pdf
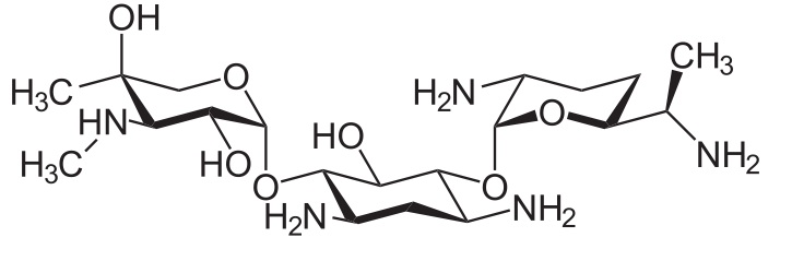
   Kimyasal yapı   

Göz damlası
Kaynaklar   Göz damlası   Kaynaklar : Gentamicin sulfate  
tip yayın
2487 Dergi McBride HA, Martinez DR, Trang JM, Lander RD, Helms HA.
Stability of gentamicin sulfate and tobramycin sulfate in extemporaneously prepared ophthalmic solutions at 8 degrees C
Am J Hosp Pharm 1991 ; 48: 507-509.
2547 Dergi Ho PC, Soh H, Lim SM, Yow KL.
Stability of extemporaneously prepared gentamicin ophthalmic solutions.
Ann Pharmacotherapy 2001 ;35:1293-1294.

  Mentions Légales