Ultimo aggiornamento :
18/03/2026
Antibiotico   Gentamicin sulfate  
Collirio
Iniezione
Stabilità dei preparati farmaceutici Stabilità in miscela Fattori che influenzano la stabilità Compatibilità Bibliografia pdf
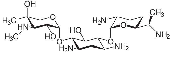
   Struttura chimica  

Collirio
Bibliografia   Collirio   Bibliografia : Gentamicin sulfate  
tipo pubblicazione
2487 Rivista McBride HA, Martinez DR, Trang JM, Lander RD, Helms HA.
Stability of gentamicin sulfate and tobramycin sulfate in extemporaneously prepared ophthalmic solutions at 8 degrees C
Am J Hosp Pharm 1991 ; 48: 507-509.
2547 Rivista Ho PC, Soh H, Lim SM, Yow KL.
Stability of extemporaneously prepared gentamicin ophthalmic solutions.
Ann Pharmacotherapy 2001 ;35:1293-1294.

  Mentions Légales