Senaste uppdateringen :
27/11/2025
Antimykotikum   Amphotericin B  
ögondroppar
Aerosol injektion Munvatten Oral lösning
Stabilitet av läkemedel Stabilitet i blandningar Faktorer som påverkar stabiliteten Kompatibilitet Hänvisningar pdf
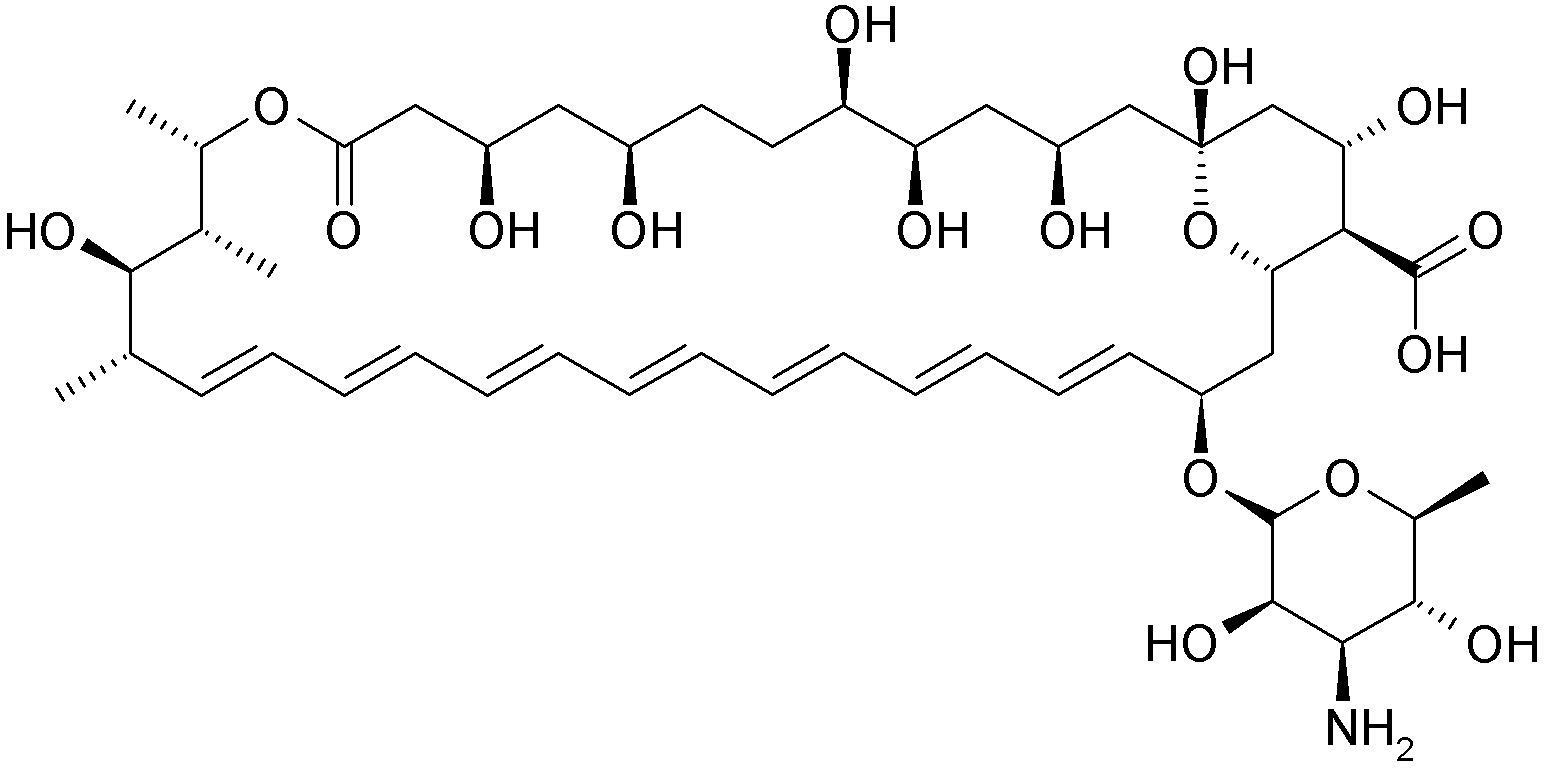
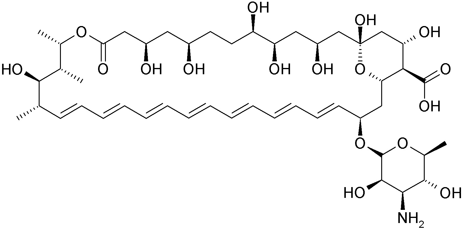
   Molekylstruktur  

ögondroppar
Stabilitet av läkemedel   ögondroppar   Stabilitet av läkemedel : Amphotericin B     
Behållare Origine Hjälpämne Temperatur Förvaring Stabilitets varaktighet Hänvisningar
Glas injektionsflaska 50 mg
Fungizone®
Natriumbikarbonat 4,2% 0,1 mL
Glukos 5% >> 10 mL
-20°C Skyddas från ljus
60 Dag
3848
Plastflaska injektionsflaska 15 mg
Fungizone®
Glukos 5% >> 3 ml
2-6°C Skyddas från ljus
120 Dag
2867

Plastflaska injektionsflaska 15 mg
Fungizone®
Glukos 5% >> 3 ml
20-25°C Skyddas från ljus
16 Dag
2867

Plastflaska injektionsflaska 15 mg
Fungizone®
Glukos 5% >> 3 ml
20-25°C Ljus
13 Dag
2867

Plastflaska injektionsflaska 10 mg
Fungizone®
Glukos 5% 4 mL
23-27°C Ej angiven
28 Dag
4487

Plastflaska injektionsflaska 10 mg
Fungizone®
Glukos 5% 4 mL
3-7°C Ej angiven
168 Dag
4487


  Mentions Légales