最新更新 :
05/12/2025
抗真菌药   Amphotericin B  
眼药水
口服剂 气雾剂 注射液 漱口水
制剂的稳定性 混合物稳定性 影响稳定性的因素 兼容性 引用文献 PDF
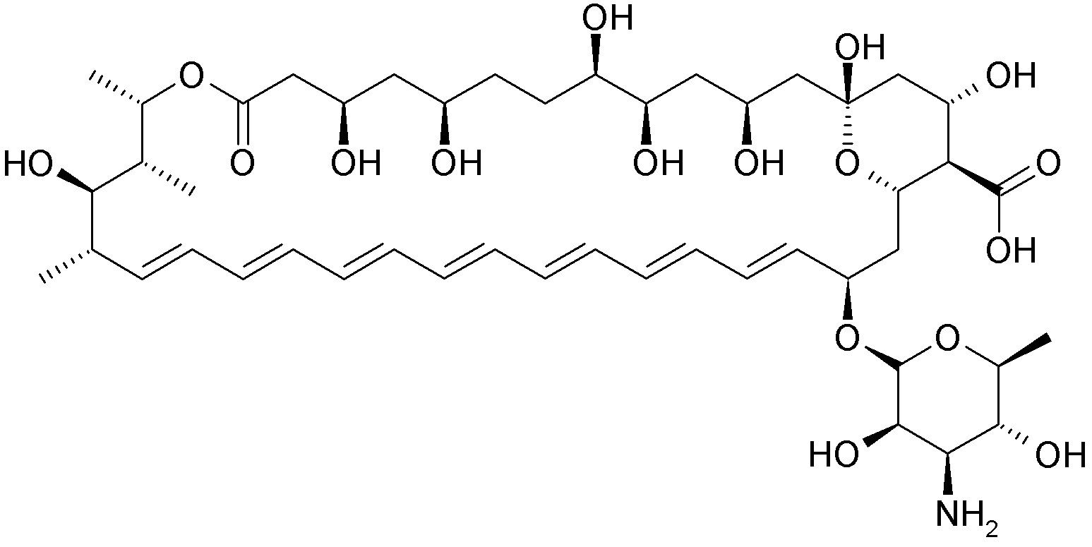
   化学式  

眼药水
制剂的稳定性   眼药水   制剂的稳定性 : Amphotericin B     
容器 Origine 添加剂 温度 保存 穩定持續時間 引用文献
玻璃 注射用瓶 50 mg
Fungizone®
碳酸氢钠 4,2% 0,1 mL
葡萄糖5% >> 10 mL
-20°C 避光
60 白天
3848
塑料瓶 注射用瓶 15 mg
Fungizone®
葡萄糖5% >> 3 ml
2-6°C 避光
120 白天
2867

塑料瓶 注射用瓶 15 mg
Fungizone®
葡萄糖5% >> 3 ml
20-25°C 避光
16 白天
2867

塑料瓶 注射用瓶 15 mg
Fungizone®
葡萄糖5% >> 3 ml
20-25°C 光
13 白天
2867

塑料瓶 注射用瓶 10 mg
Fungizone®
葡萄糖5% 4 mL
23-27°C 无特殊要求
28 白天
4487

塑料瓶 注射用瓶 10 mg
Fungizone®
葡萄糖5% 4 mL
3-7°C 无特殊要求
168 白天
4487


  Mentions Légales