Siste oppdatering :
18/03/2026
Fungicid   Amphotericin B  
Øyedråper
Aerosol Injeksjon Mikstur Munnvann
Stabilitet av farmasøytiske preparater Stabilitet i blandinger Faktorer som påvirker stabiliteten Kompatibilitet Referanser pdf
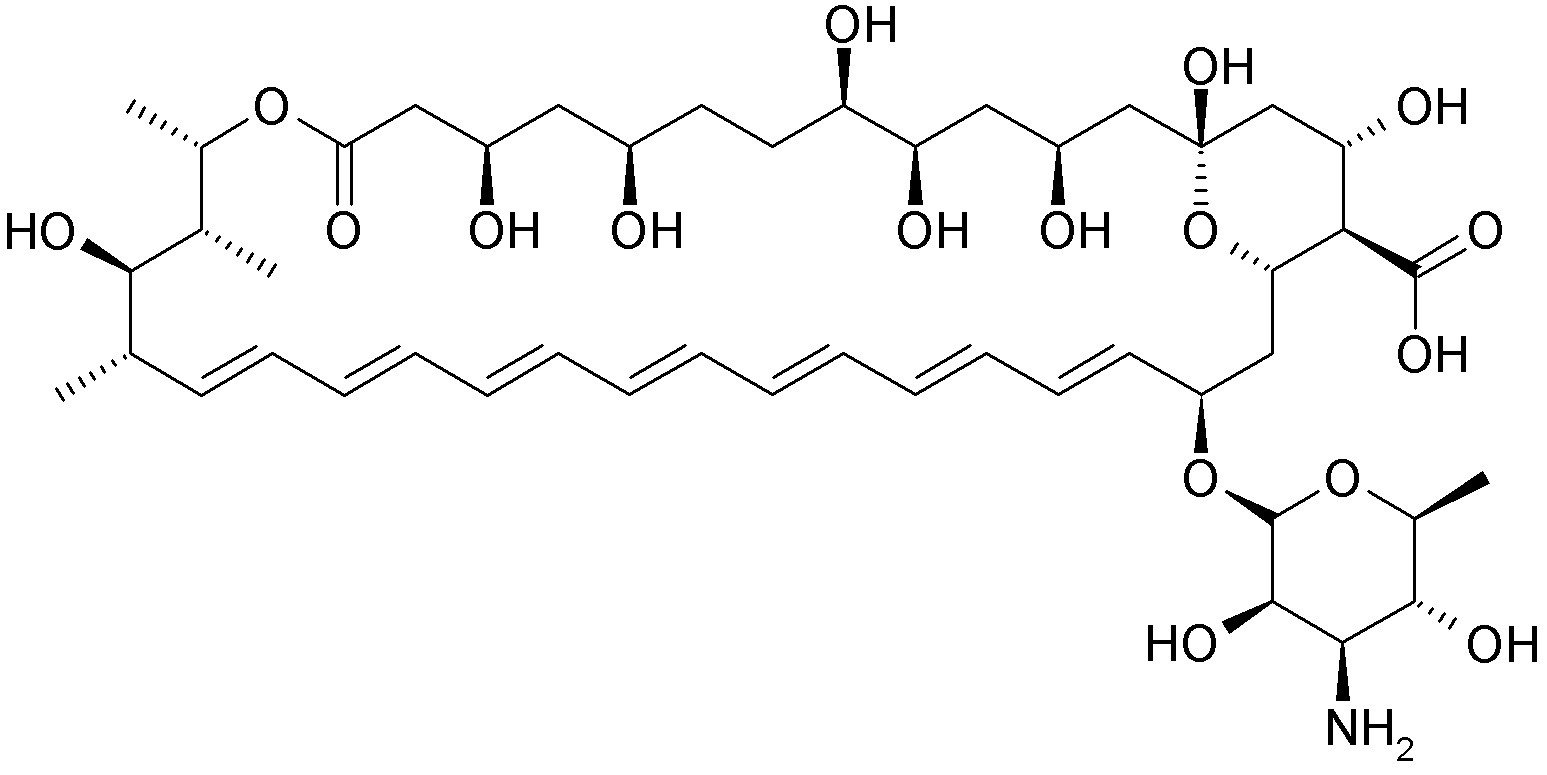
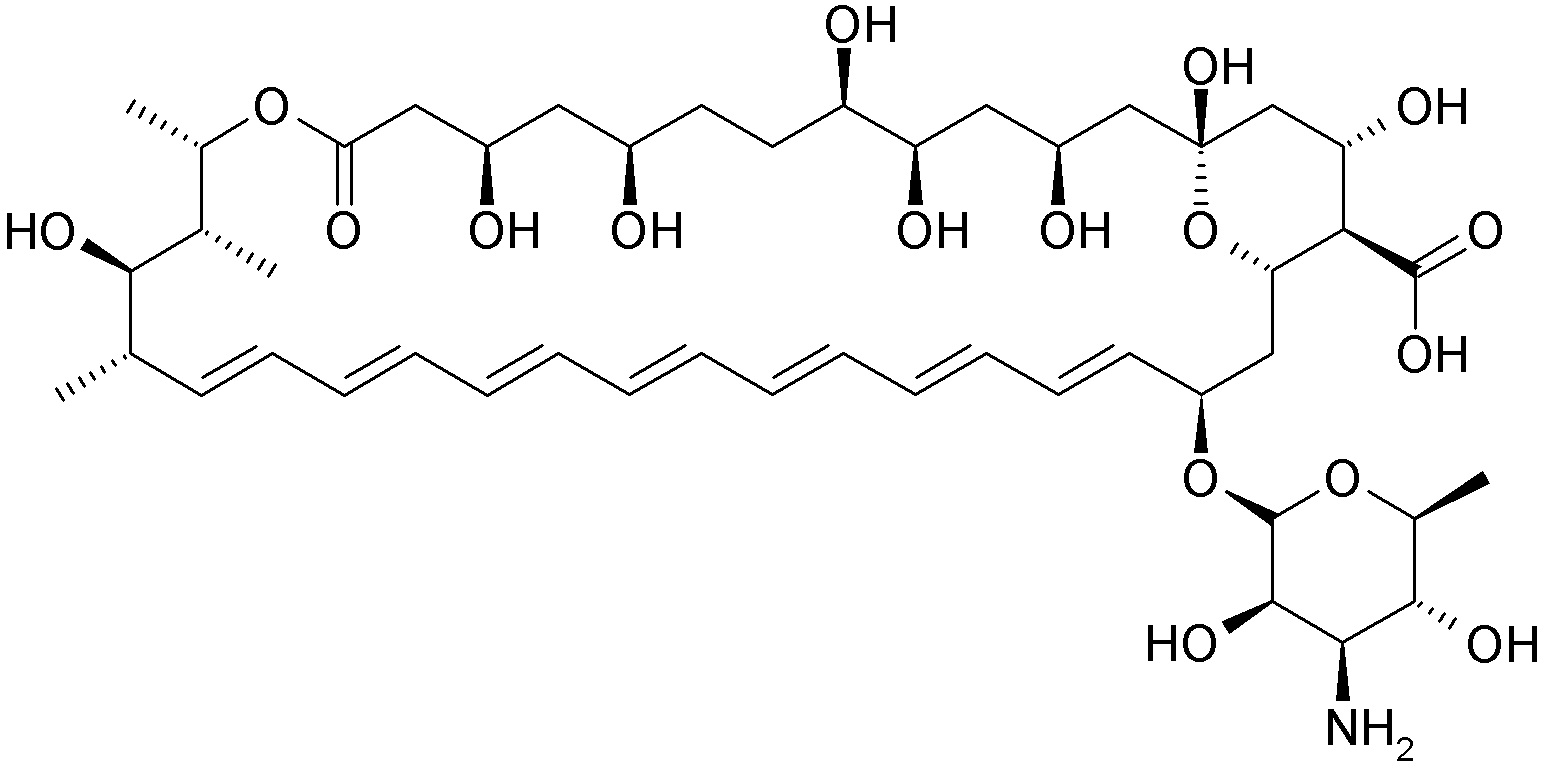
   Kjemisk struktur  

Øyedråper
Stabilitet av farmasøytiske preparater   Øyedråper   Stabilitet av farmasøytiske preparater : Amphotericin B     
Beholder Origine Hjelpestoff Temperatur Oppbevaring Varighet av stabilitet Referanser
Glass Hetteglass 50 mg
Fungizone®
Natriumbikarbonat 4,2% 0,1 mL
Dekstrose 5 % >> 10 mL
-20°C Beskyttes mot lys
60 Dag
3848
Plastflaske Hetteglass 15 mg
Fungizone®
Dekstrose 5 % >> 3 ml
2-6°C Beskyttes mot lys
120 Dag
2867

Plastflaske Hetteglass 15 mg
Fungizone®
Dekstrose 5 % >> 3 ml
20-25°C Beskyttes mot lys
16 Dag
2867

Plastflaske Hetteglass 15 mg
Fungizone®
Dekstrose 5 % >> 3 ml
20-25°C Lys
13 Dag
2867

Plastflaske Hetteglass 10 mg
Fungizone®
Dekstrose 5 % 4 mL
23-27°C Ikke angitt
28 Dag
4487

Plastflaske Hetteglass 10 mg
Fungizone®
Dekstrose 5 % 4 mL
3-7°C Ikke angitt
168 Dag
4487


  Mentions Légales