Poslední aktualizace :
12/12/2025
Priešgrybelinis vaistas   Amphotericin B  
Akių lašai
Aerozolis Geriamas tirpalas Įpurškimas Skystis burnai skalauti
Stabilumas farmacinių preparatų Mišinių stabilumas Stabilumą lemiantys veiksniai Suderinamumas Bibliografija pdf
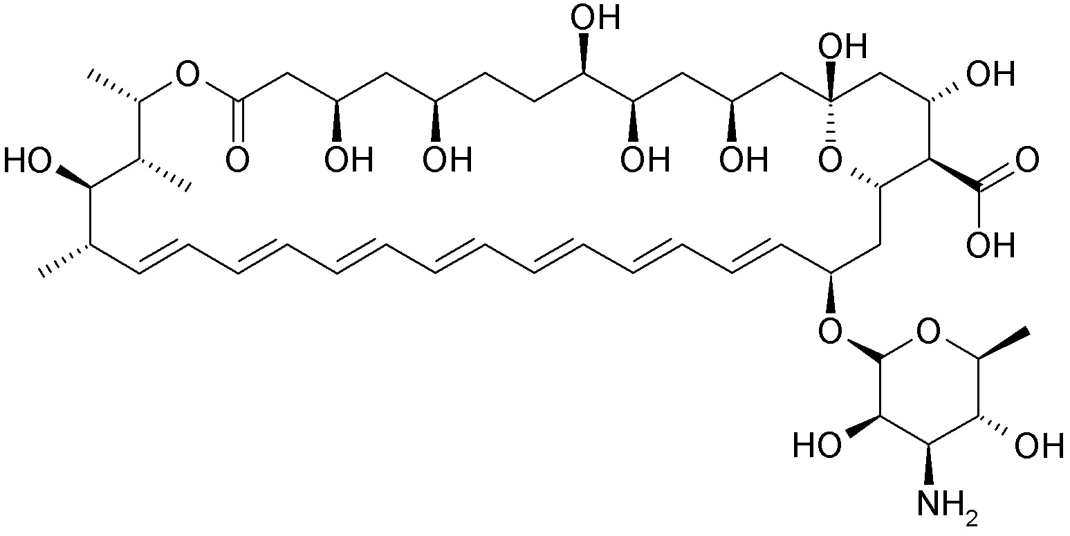
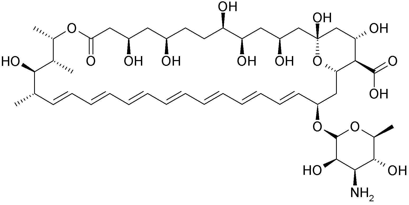
   Cheminė sandara  

Akių lašai
Stabilumas farmacinių preparatų   Akių lašai   Stabilumas farmacinių preparatų : Amphotericin B     
Pakuotė Origine Ekscipientas Temperatūra Laikymas Stabilumo trukmė Nuorodos
Stiklas Vaistų buteliukas injekcijoms 50 mg
Fungizone®
Natrio bikarbonatas 4,2% 0,1 mL
Dekstrozė 5 % >> 10 mL
-20°C Apsaugotas nuo šviesos
60 Diena
3848
Plastikinis butelis Vaistų buteliukas injekcijoms 15 mg
Fungizone®
Dekstrozė 5 % >> 3 ml
2-6°C Apsaugotas nuo šviesos
120 Diena
2867

Plastikinis butelis Vaistų buteliukas injekcijoms 15 mg
Fungizone®
Dekstrozė 5 % >> 3 ml
20-25°C Apsaugotas nuo šviesos
16 Diena
2867

Plastikinis butelis Vaistų buteliukas injekcijoms 15 mg
Fungizone®
Dekstrozė 5 % >> 3 ml
20-25°C Šviesa
13 Diena
2867

Plastikinis butelis Vaistų buteliukas injekcijoms 10 mg
Fungizone®
Dekstrozė 5 % 4 mL
23-27°C Nenurodyta
28 Diena
4487

Plastikinis butelis Vaistų buteliukas injekcijoms 10 mg
Fungizone®
Dekstrozė 5 % 4 mL
3-7°C Nenurodyta
168 Diena
4487


  Mentions Légales