Letztes “update” :
17/12/2025
Antifungoid   Amphotericin B  
Augentropfen
Aerosol Injektion Lösung zum Einnehmen Mundspüllösung
Stabilität von pharmazeutischen Präparaten Gemengestabilität Stabilitätbeeinflussende Faktoren Kompatibilitäten Literaturverzeichnis pdf
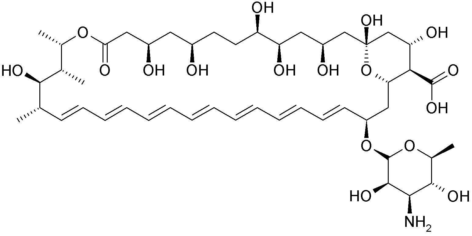
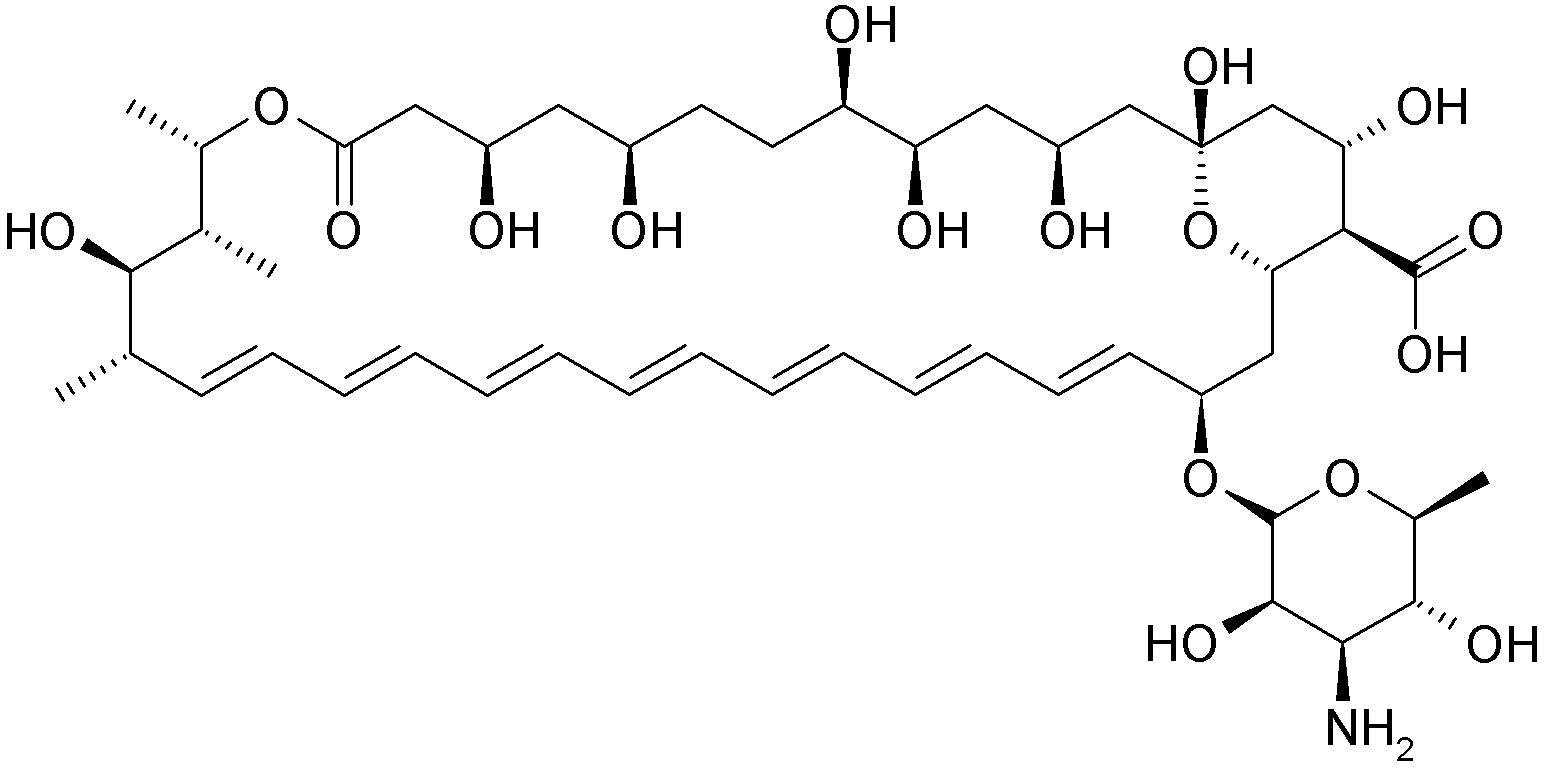
   Chemische Struktur  

Augentropfen
Stabilität von pharmazeutischen Präparaten   Augentropfen   Stabilität von pharmazeutischen Präparaten : Amphotericin B     
Behälter Origine Hilfsstoff Temperatur Konservierung Dauer der Stabilität Literaturverzeichnis
Glas Injektionsflasche 50 mg
Fungizone®
Natriumbicarbonat 4,2% 0,1 mL
Glucose 5% >> 10 mL
-20°C Ohne Licht
60 Tag
3848
Plastikflasche Injektionsflasche 15 mg
Fungizone®
Glucose 5% >> 3 ml
2-6°C Ohne Licht
120 Tag
2867

Plastikflasche Injektionsflasche 15 mg
Fungizone®
Glucose 5% >> 3 ml
20-25°C Ohne Licht
16 Tag
2867

Plastikflasche Injektionsflasche 15 mg
Fungizone®
Glucose 5% >> 3 ml
20-25°C Licht
13 Tag
2867

Plastikflasche Injektionsflasche 10 mg
Fungizone®
Glucose 5% 4 mL
23-27°C Nicht genau angegeben
28 Tag
4487

Plastikflasche Injektionsflasche 10 mg
Fungizone®
Glucose 5% 4 mL
3-7°C Nicht genau angegeben
168 Tag
4487


  Mentions Légales