Senaste uppdateringen :
18/03/2026
Antimykotikum   Amphotericin B  
ögondroppar
Aerosol injektion Munvatten Oral lösning
Stabilitet av läkemedel Stabilitet i blandningar Faktorer som påverkar stabiliteten Kompatibilitet Hänvisningar pdf
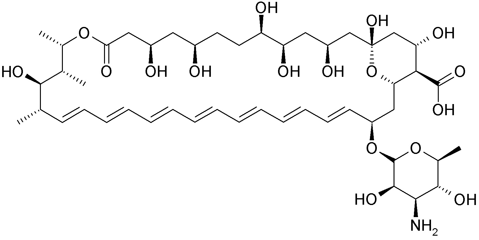
   Molekylstruktur  

ögondroppar
Stabilitet i blandningar   ögondroppar   Stabilitet i blandningar : Amphotericin B     
Ingen uppgift

  Mentions Légales