Dernière mise à jour :
18/03/2026
Antifongique   Amphotericin B  
Collyre
Aérosol Gargarisme injectable Solution buvable
Stabilité des préparations Stabilité en mélange Facteur influençant la stabilité Compatibilités Bibliographie pdf
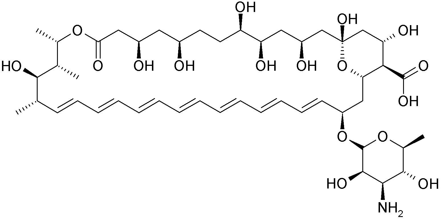
   Structure chimique  

Collyre
Stabilité en mélange   Collyre   Stabilité en mélange : Amphotericin B     
Aucune donnée

  Mentions Légales