Posledná aktualizácia :
18/03/2026
antimykotikum   Amphotericin B  
Očná instilácia
Aerosól Injekcia Kloktadlo Perorálny roztok
Stabilita farmaceutických prípravkov Stabilita v zmesiach Faktory ovplyvňujúce stabilitu Kompatibility Odkazy na literatúru PDF
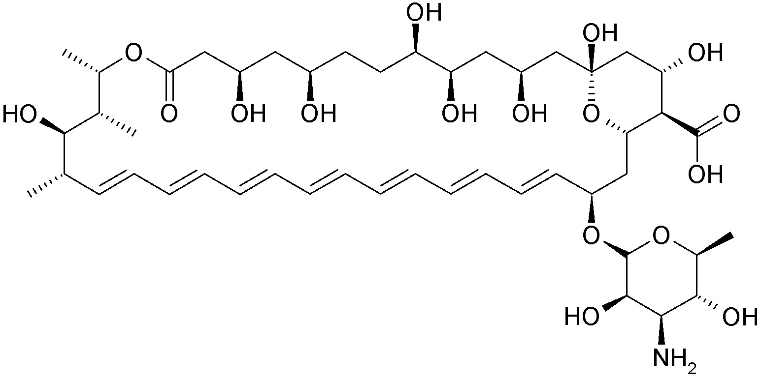
   Chemický vzorec  

Očná instilácia
Stabilita v zmesiach   Očná instilácia   Stabilita v zmesiach : Amphotericin B     
žiadne údaje

  Mentions Légales