Last update :
18/03/2026
Antifungal   Amphotericin B  
Eye-drops
aerosol injection Mouthwash Oral solution
Stability of pharmaceutical preparations Stability of mixtures Factors which affect stability Compatibility References pdf
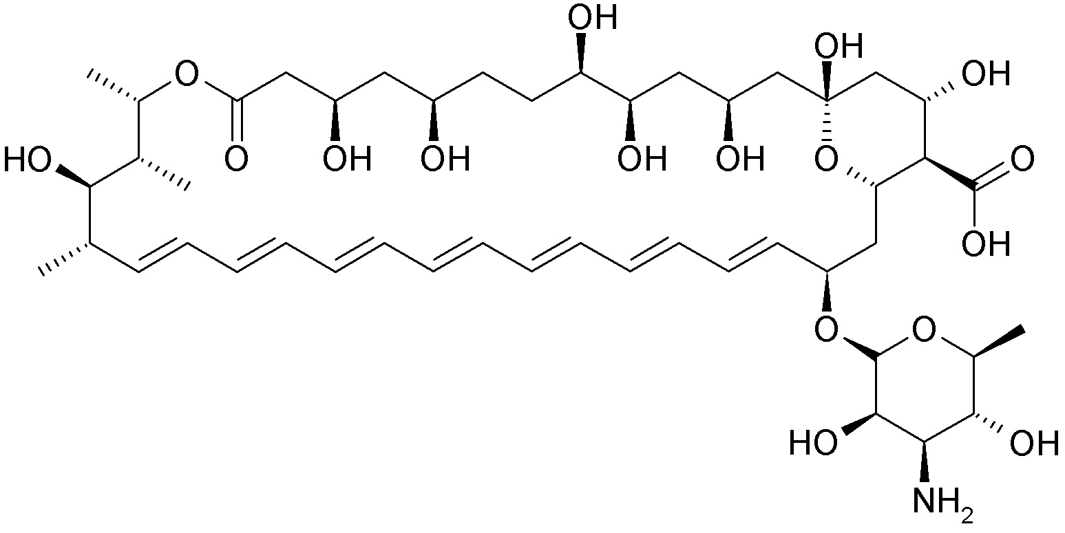
   Chemical structure  

Eye-drops
Stability of mixtures   Eye-drops   Stability of mixtures : Amphotericin B     
No data

  Mentions Légales