Letztes “update” :
18/03/2026
Antifungoid   Amphotericin B  
Augentropfen
Aerosol Injektion Lösung zum Einnehmen Mundspüllösung
Stabilität von pharmazeutischen Präparaten Gemengestabilität Stabilitätbeeinflussende Faktoren Kompatibilitäten Literaturverzeichnis pdf
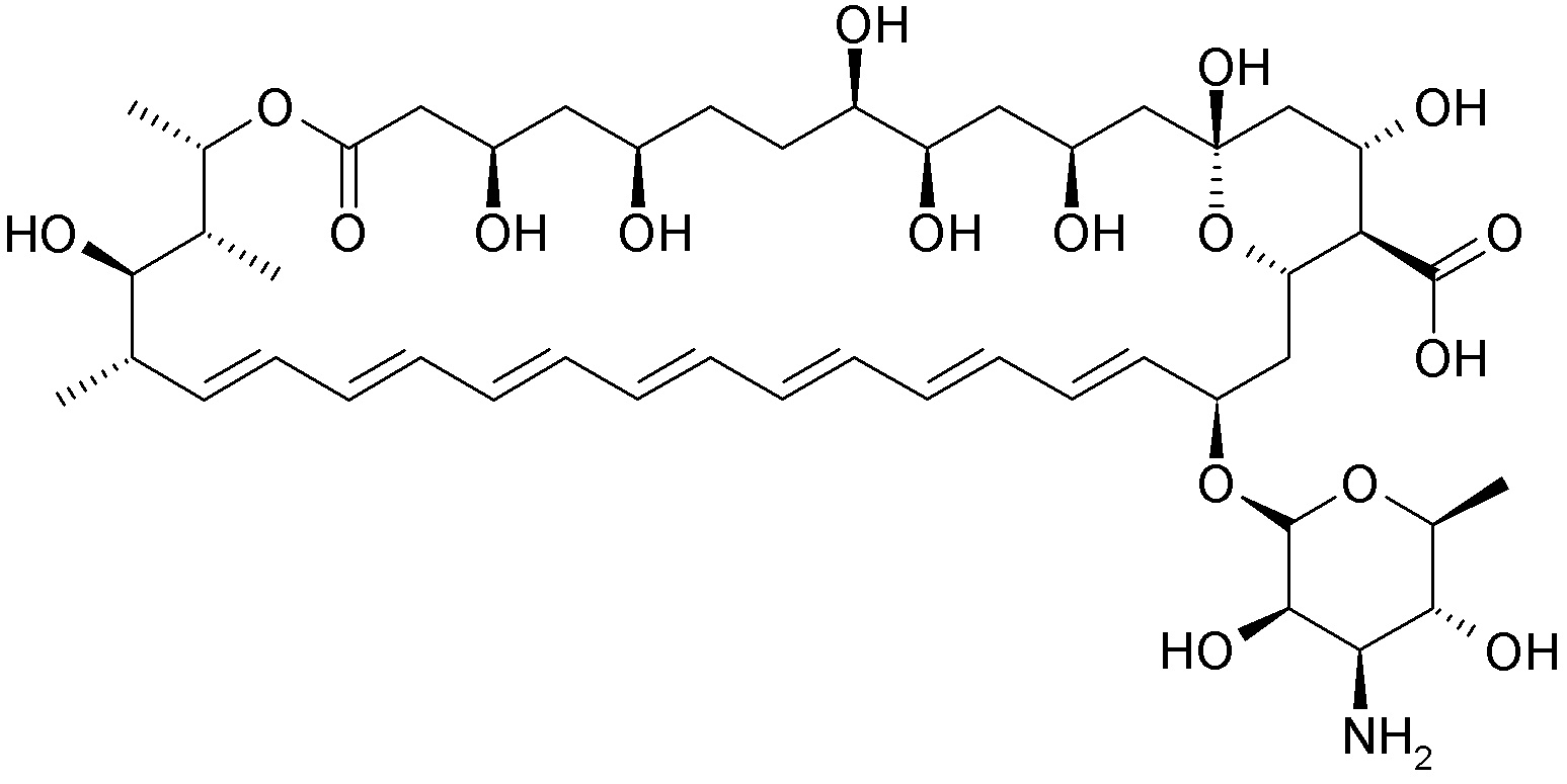
   Chemische Struktur  

Augentropfen
Gemengestabilität   Augentropfen   Gemengestabilität : Amphotericin B     
Keine Daten

  Mentions Légales