Son güncelleme :
18/03/2026
kanser ilaç   Etoposide  
Oral solüsyon / oral çözelti
Enjeksiyon
Farmasötik preparatlar Kararlılığı Karışımlardaki stabilitesi Stabiliteyi etkileyen faktörler Uyumluluk Kaynaklar pdf
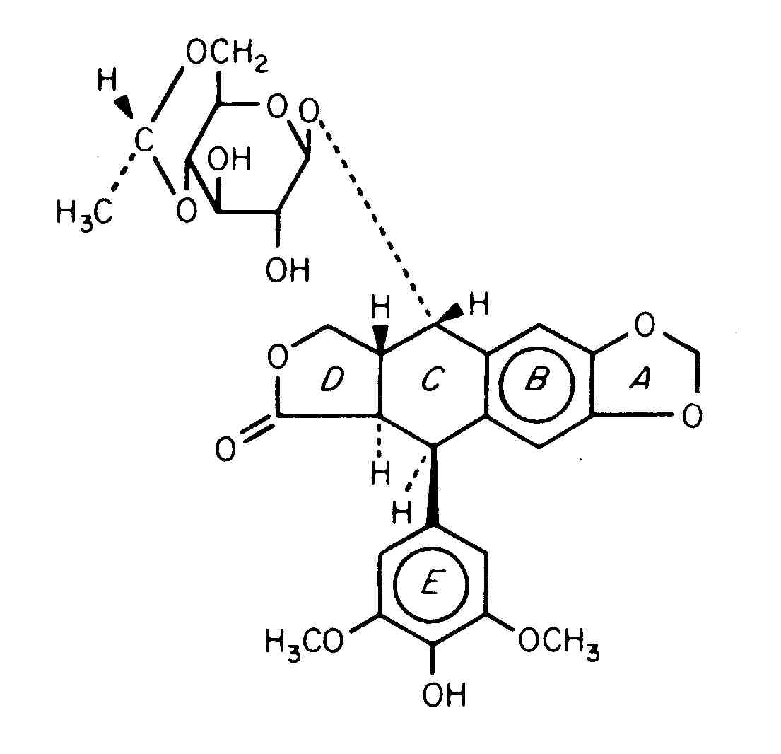
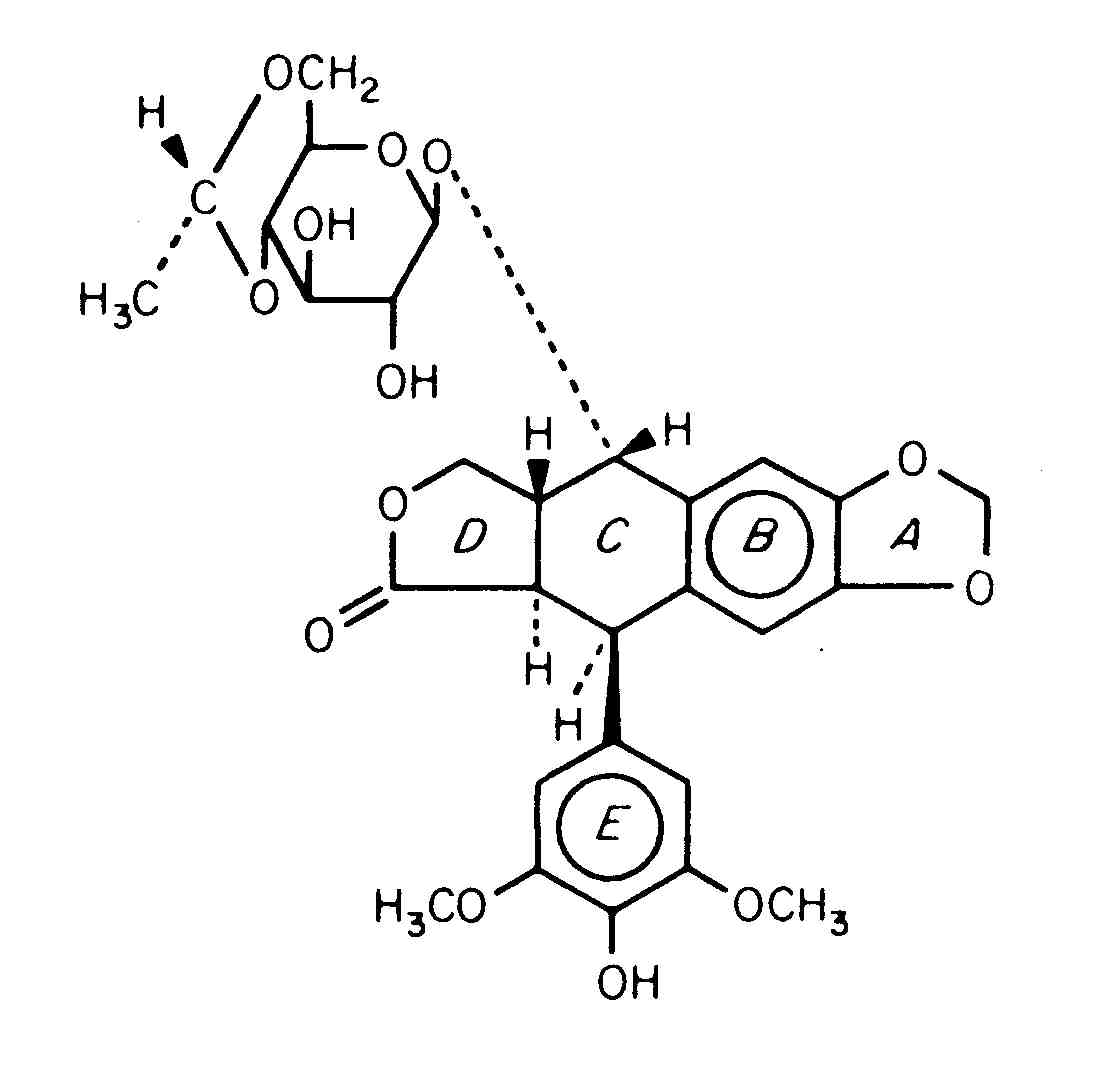
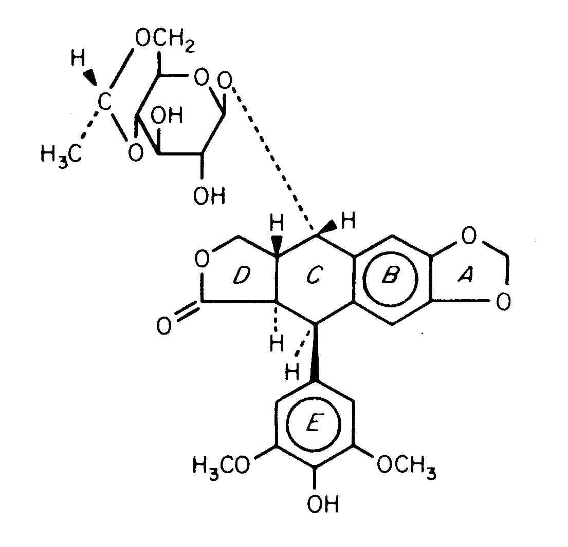
   Kimyasal yapı   

Oral solüsyon / oral çözelti
Kaynaklar   Oral solüsyon / oral çözelti   Kaynaklar : Etoposide  
tip yayın
1992 Dergi Drouard, VigneronJ, May I.
Traitement par étoposide oral : présentation adaptée à une meilleure observance pédiatrique hospitalière.
J Pharm Clin 1999 ; 18, 3: 251-257.
2482 Dergi McLeod HL, Relling MV.
Stability of etoposide solution for oral use
Am J Hosp Pharm 1992 ; 49: 2784-2785.

  Mentions Légales