Seneste opdatering :
18/03/2026
anticancer medicin   Etoposide  
Oral opløsning
Injektion
Stabilitet af farmaceutiske tilberedninger Stabilitet i blandinger Faktorer der påvirker stabiliteten Kompatibilitet Bibliografi pdf
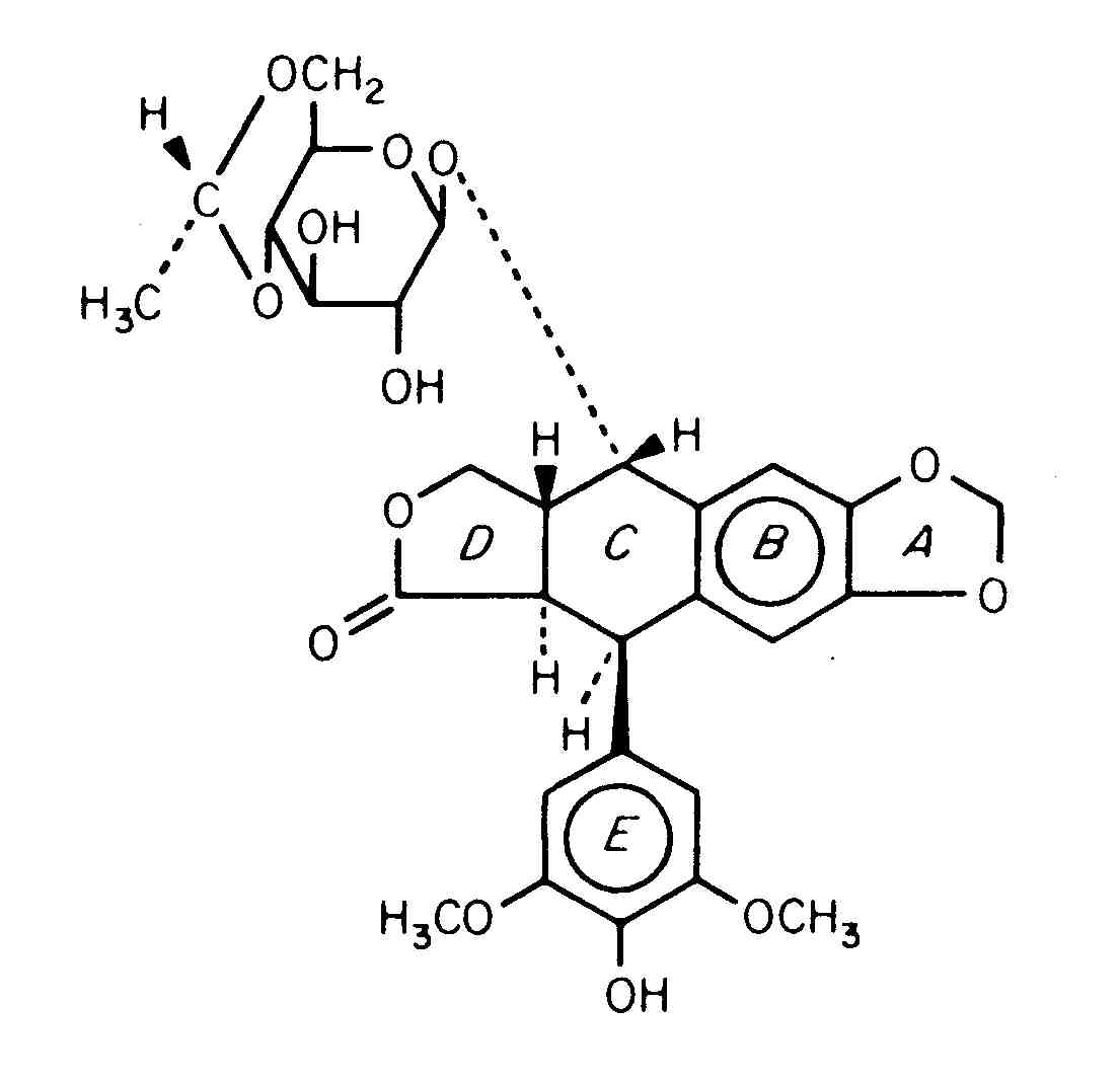
   Kemisk struktur  

Oral opløsning
Bibliografi   Oral opløsning   Bibliografi : Etoposide  
Type offentliggørelse
1992 Journal Drouard, VigneronJ, May I.
Traitement par étoposide oral : présentation adaptée à une meilleure observance pédiatrique hospitalière.
J Pharm Clin 1999 ; 18, 3: 251-257.
2482 Journal McLeod HL, Relling MV.
Stability of etoposide solution for oral use
Am J Hosp Pharm 1992 ; 49: 2784-2785.

  Mentions Légales