zadnja posodobitev :
18/03/2026
rak drog   Etoposide  
Peroralna raztopina
Brizgalka
Stabilnost farmacevtskih preparatov Stabilnost mešanice Faktorji, ki vplivajo na stabilnost Kompatibilnost Viri pdf
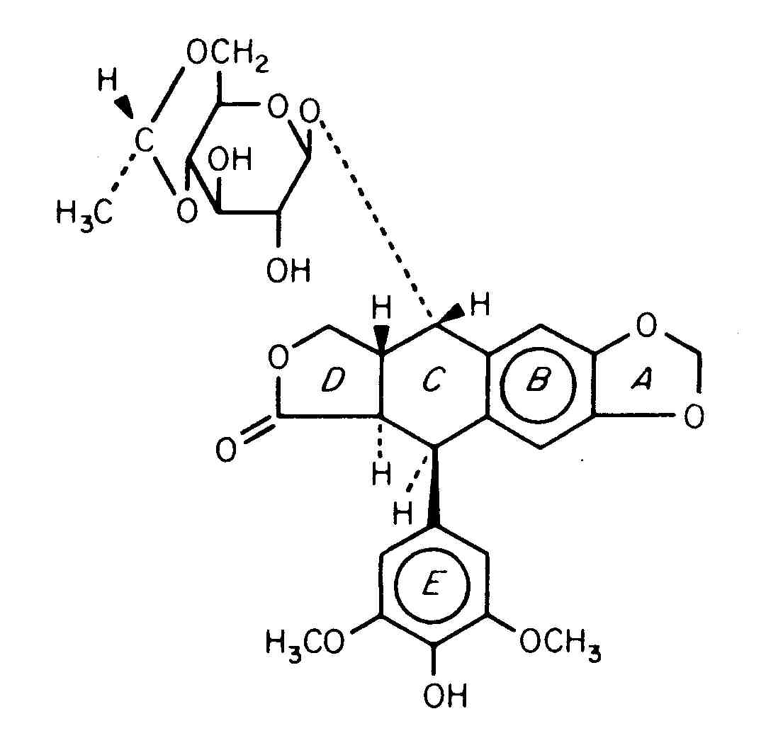
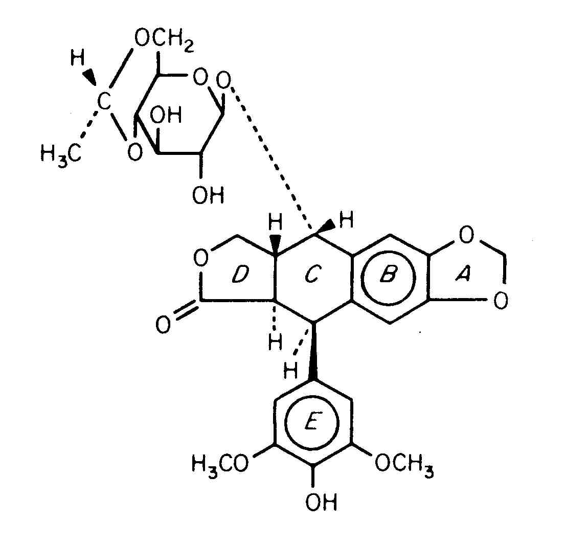
   Kemična formula  

Peroralna raztopina
Viri   Peroralna raztopina   Viri : Etoposide  
Tip objava
1992 časopis Drouard, VigneronJ, May I.
Traitement par étoposide oral : présentation adaptée à une meilleure observance pédiatrique hospitalière.
J Pharm Clin 1999 ; 18, 3: 251-257.
2482 časopis McLeod HL, Relling MV.
Stability of etoposide solution for oral use
Am J Hosp Pharm 1992 ; 49: 2784-2785.

  Mentions Légales