Poslední aktualizace :
18/03/2026
rakovina drog   Etoposide  
Perorální roztok
injekce
Stabilita farmaceutických přípravků Stabilita směsí Faktory ovlivňující stabilitu Kompatibilita Odkazy pdf
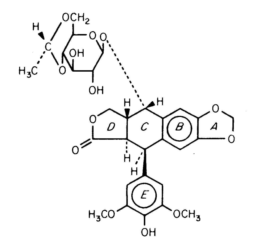
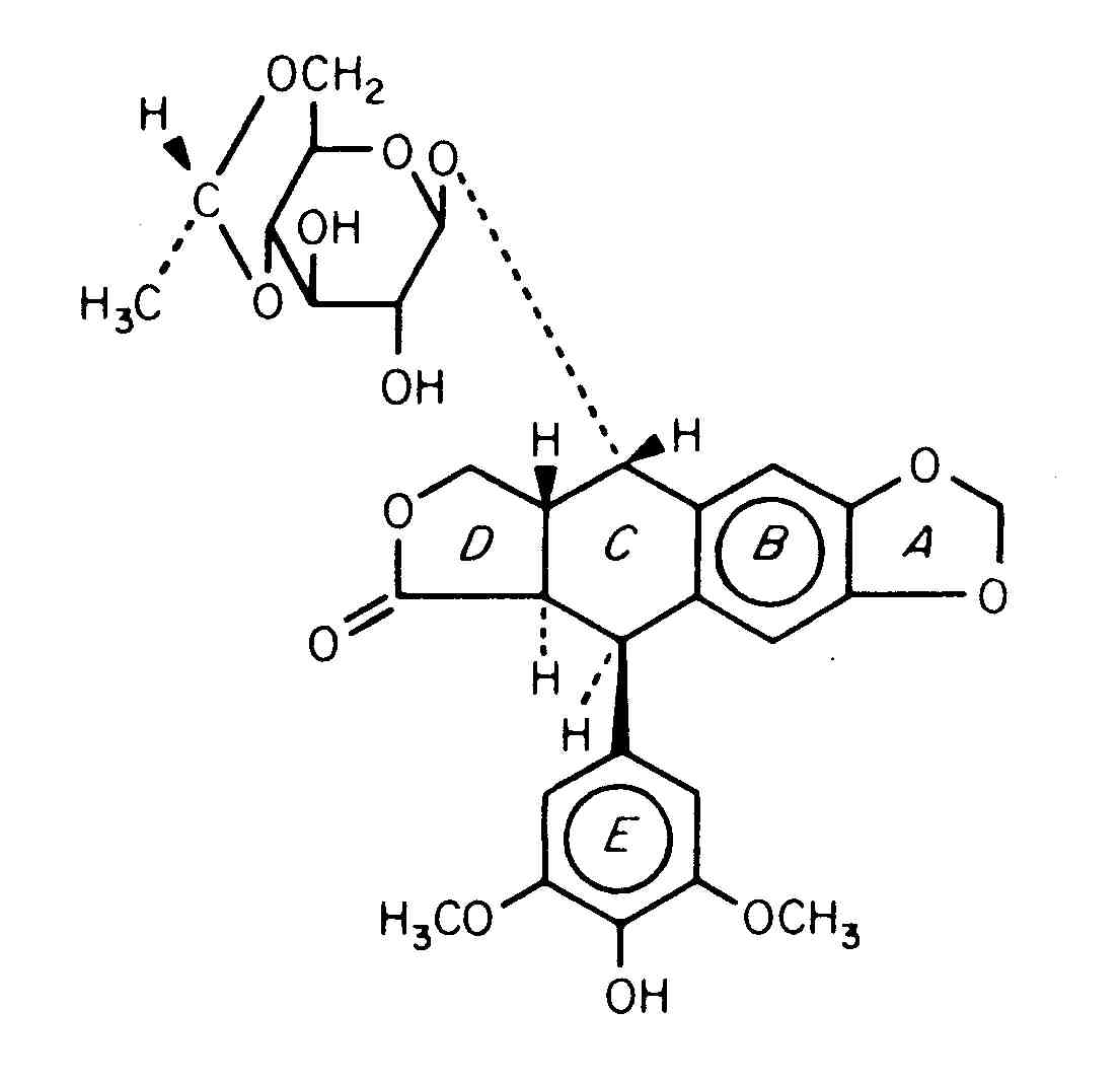
   Chemický vzorec  

Perorální roztok
Odkazy   Perorální roztok   Odkazy : Etoposide  
typ uveřejnění
1992 noviny Drouard, VigneronJ, May I.
Traitement par étoposide oral : présentation adaptée à une meilleure observance pédiatrique hospitalière.
J Pharm Clin 1999 ; 18, 3: 251-257.
2482 noviny McLeod HL, Relling MV.
Stability of etoposide solution for oral use
Am J Hosp Pharm 1992 ; 49: 2784-2785.

  Mentions Légales