Последно актуализиране :
18/03/2026
противораково лекарство   Etoposide  
Орален разтвор
Инжекция/Инжекционен
Стабилност на лекарствени препарати Стабилност на смеси Фактори, повлияващи стабилността Съвместимост Библиография Pdf
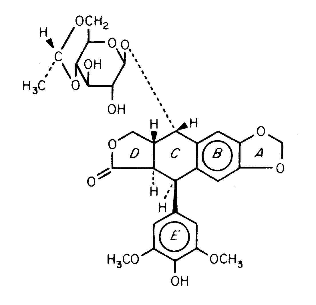
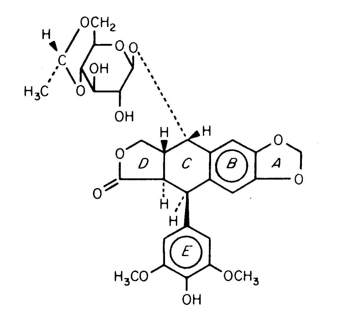
   Химична структура  

Орален разтвор
Библиография   Орален разтвор   Библиография : Etoposide  
Вид Публикация
1992 Списание Drouard, VigneronJ, May I.
Traitement par étoposide oral : présentation adaptée à une meilleure observance pédiatrique hospitalière.
J Pharm Clin 1999 ; 18, 3: 251-257.
2482 Списание McLeod HL, Relling MV.
Stability of etoposide solution for oral use
Am J Hosp Pharm 1992 ; 49: 2784-2785.

  Mentions Légales