Laatste update :
17/12/2025
Immunosuppressivum   Ciclosporin  
Orale Oplossing
injecteerbaar geneesmiddel Oogwater zalf
Stabiliteit van farmaceutische preparaten Stabiliteit in mengsels Factoren die de stabiliteit beïnvloeden Verenigbaarheden Literatuur pdf
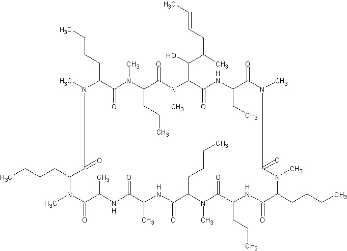
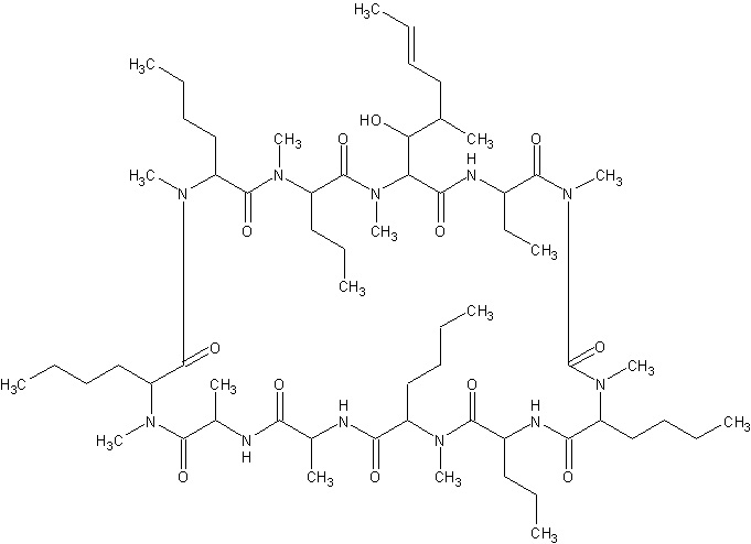
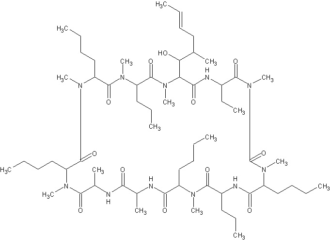
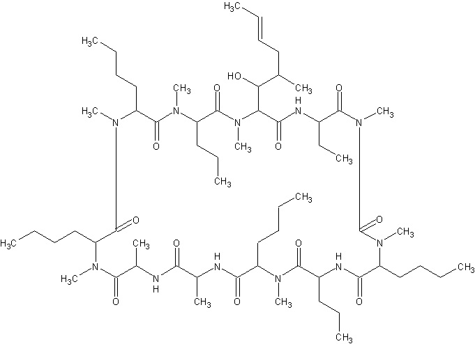
   Molecuulstructuur  

Orale Oplossing
Stabiliteit van farmaceutische preparaten   Orale Oplossing   Stabiliteit van farmaceutische preparaten : Ciclosporin     
Verpakking Origine  ikˈsipēənt hulpstof Temperatuur Bewaring Duur van de stabiliteit Literatuur
Glas poeder 2000 mg
® = ?
SyrSpend SF® >> 20 ml
25°C Niet gespecificeerd
90 Dag
4198

Glas poeder 2000 mg
® = ?
SyrSpend SF® >> 20 ml
4°C Niet gespecificeerd
90 Dag
4198

injectiespuit polypropyleen Geneeskunde fles voor injectie 100 mg/ml
Sandimmune®
Geen
25°C Met of zonder licht
28 Dag
453


  Mentions Légales