viimane versioon :
18/03/2026
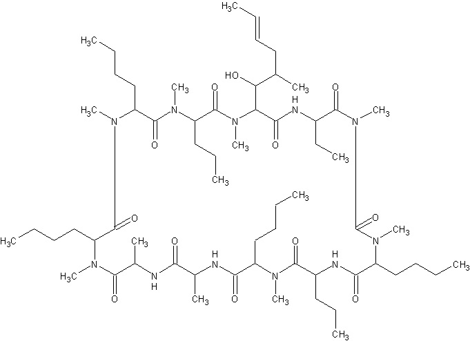
immunosupressant   Ciclosporin  
suukaudne lahus
salv Silmatilgad Süsteravim
Stabiilsust ravimpreparaadid Stabiilsust mõjutavad tegurid stabiilsust mõjutavad faktorid Sobimatus Viited pdf
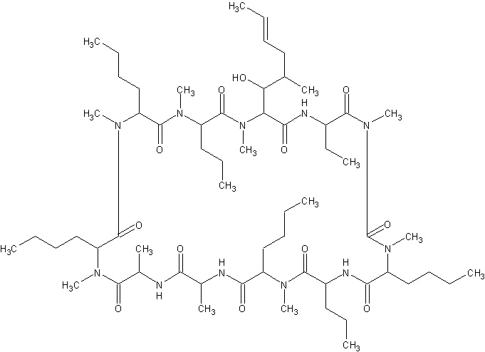
   keemiline struktuur  

suukaudne lahus
Stabiilsust ravimpreparaadid   suukaudne lahus   Stabiilsust ravimpreparaadid : Ciclosporin     
konteiner Origine  abiaine temperatuur ladustamine Stabiilsuse kestus Viited
klaas pulber 2000 mg
® = ?
SyrSpend SF® >> 20 ml
25°C pole täpsustatud
90 päev
4198

klaas pulber 2000 mg
® = ?
SyrSpend SF® >> 20 ml
4°C pole täpsustatud
90 päev
4198

süstal  polüpropüleenist Süsteravimi viaal 100 mg/ml
Sandimmune®
ei
25°C valgusega või ilma valguseta
28 päev
453


  Mentions Légales