最新更新 :
18/03/2026
免疫抑制薬   Ciclosporin  
経口液
注射薬 点眼薬 軟膏薬
調剤時の安定性 混合時の安定性 安定性に影響する因子 互換性 引用文献 PDF
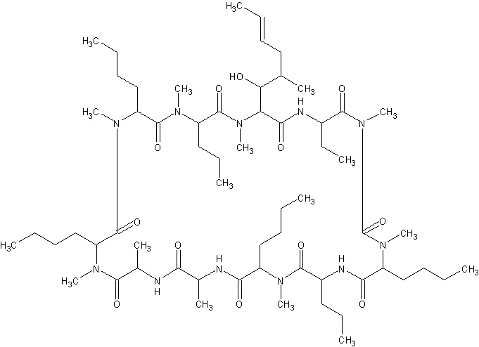
   化学構造  

経口液
調剤時の安定性   経口液   調剤時の安定性 : Ciclosporin     
容器 Origine 添加剤 温度 保管 安定期間 引用文献
ガラス 粉 2000 mg
® = ?
SyrSpend SF® >> 20 ml
25°C 特記なし
90 日
4198

ガラス 粉 2000 mg
® = ?
SyrSpend SF® >> 20 ml
4°C 特記なし
90 日
4198

シリンジ ポリプロピレン 注射用瓶 100 mg/ml
Sandimmune®
なし
25°C 光/遮光
28 日
453


  Mentions Légales