Poslední aktualizace :
18/03/2026
Imunosupresantas   Ciclosporin  
Geriamas tirpalas
Akių lašai Įpurškimas Tepalai
Stabilumas farmacinių preparatų Mišinių stabilumas Stabilumą lemiantys veiksniai Suderinamumas Bibliografija pdf
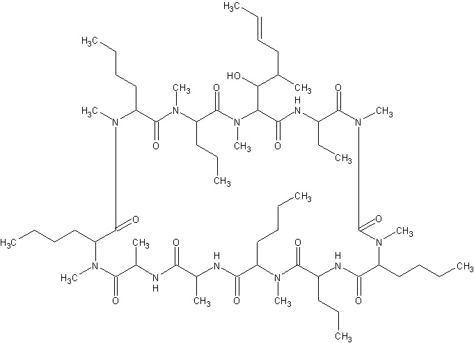
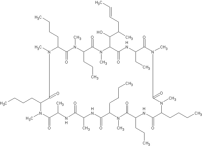
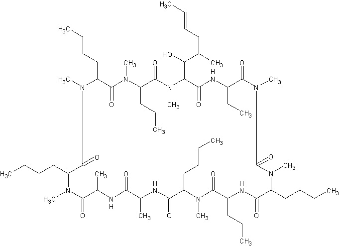
   Cheminė sandara  

Geriamas tirpalas
Stabilumas farmacinių preparatų   Geriamas tirpalas   Stabilumas farmacinių preparatų : Ciclosporin     
Pakuotė Origine Ekscipientas Temperatūra Laikymas Stabilumo trukmė Nuorodos
Stiklas Milteliai 2000 mg
® = ?
SyrSpend SF® >> 20 ml
25°C Nenurodyta
90 Diena
4198

Stiklas Milteliai 2000 mg
® = ?
SyrSpend SF® >> 20 ml
4°C Nenurodyta
90 Diena
4198

Švirkštas polipropileno Vaistų buteliukas injekcijoms 100 mg/ml
Sandimmune®
Nėra
25°C Ir šviesoje, ir tamsoje
28 Diena
453


  Mentions Légales