Viimeisin päivitys :
17/12/2025
Immunosupressiiviset lääkkeet   Ciclosporin  
Oraaliliuos
Injektioneste Salvat Silmätipat
Vakaus lääkevalmisteen Stabilius seoksissa Tekijät, jotka vaikuttavat stabiliuteen Yhteensopivuus Viitteet pdf
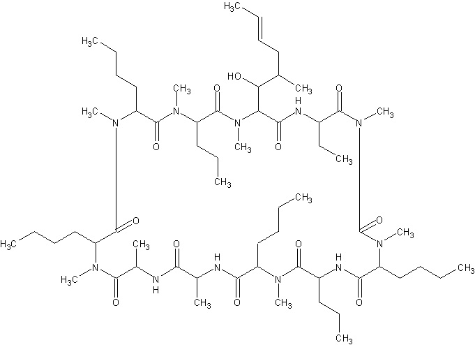
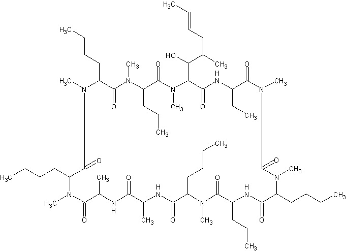
   Kemiallinen rakenne  

Oraaliliuos
Vakaus lääkevalmisteen   Oraaliliuos   Vakaus lääkevalmisteen : Ciclosporin     
Astia Origine Apuaine Lämpötila Säilytys Vakauden kesto Viitteet
Lasi Jauhe 2000 mg
® = ?
SyrSpend SF® >> 20 ml
25°C Ei määritetty
90 Päivä
4198

Lasi Jauhe 2000 mg
® = ?
SyrSpend SF® >> 20 ml
4°C Ei määritetty
90 Päivä
4198

Ruisku  polypropeeni Injektionestepullo 100 mg/ml
Sandimmune®
Ei ole
25°C Valossa tai suojassa valolta
28 Päivä
453


  Mentions Légales