Dernière mise à jour :
17/12/2025
Immunosuppresseur   Ciclosporin  
Solution buvable
Collyre Forme dermique injectable
Stabilité des préparations Stabilité en mélange Facteur influençant la stabilité Compatibilités Bibliographie pdf
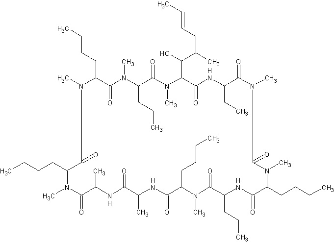
   Structure chimique  

Solution buvable
Stabilité des préparations   Solution buvable   Stabilité des préparations : Ciclosporin     
Contenant Origine Excipient Température Conservation Durée de stabilité Bibliographie
Verre Poudre 2000 mg
® = ?
SyrSpend SF® >> 20 ml
25°C Non précisée
90 Jour
4198

Verre Poudre 2000 mg
® = ?
SyrSpend SF® >> 20 ml
4°C Non précisée
90 Jour
4198

Seringue polypropylène Flacon injectable 100 mg/ml
Sandimmune®
Aucun
25°C Avec ou sans lumière
28 Jour
453


  Mentions Légales