Son güncelleme :
18/03/2026
Immünosupresan   Ciclosporin  
Oral solüsyon / oral çözelti
Enjeksiyon Göz damlası Merhem
Farmasötik preparatlar Kararlılığı Karışımlardaki stabilitesi Stabiliteyi etkileyen faktörler Uyumluluk Kaynaklar pdf
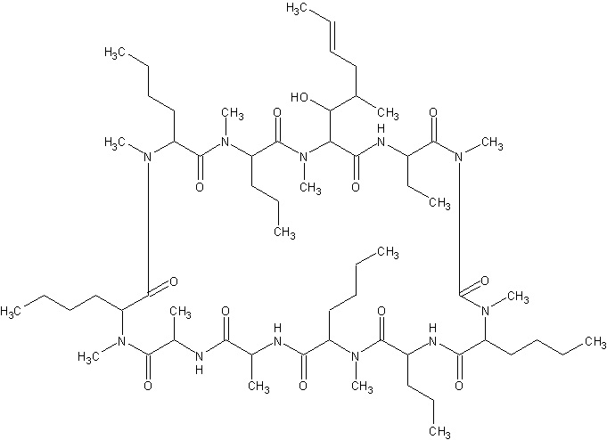
   Kimyasal yapı   

Oral solüsyon / oral çözelti
Karışımlardaki stabilitesi   Oral solüsyon / oral çözelti   Karışımlardaki stabilitesi : Ciclosporin     
veri yok

  Mentions Légales