Posledná aktualizácia :
18/03/2026
imunosupresívum   Ciclosporin  
Perorálny roztok
Dermálny prípravok Injekcia Očná instilácia
Stabilita farmaceutických prípravkov Stabilita v zmesiach Faktory ovplyvňujúce stabilitu Kompatibility Odkazy na literatúru PDF
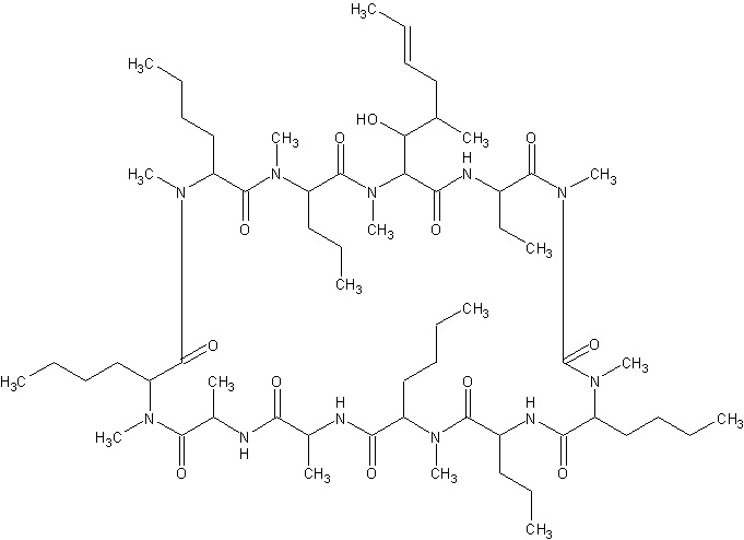
   Chemický vzorec  

Perorálny roztok
Stabilita v zmesiach   Perorálny roztok   Stabilita v zmesiach : Ciclosporin     
žiadne údaje

  Mentions Légales