Τελευταία ενημέρωση :
18/03/2026
Ανοσοκατασταλτικό   Ciclosporin  
Πόσιμο διάλυμα
Αλοιφές Ενέσιμο Οφθαλμικές σταγόνες
Σταθερότητα και συμβατότητα των φαρμάκων Σταθερότητα σε μίγματα Παράγοντας που επηρεάζει τη σταθερότητα Συμβατότητες Βιβλιογραφία pdf
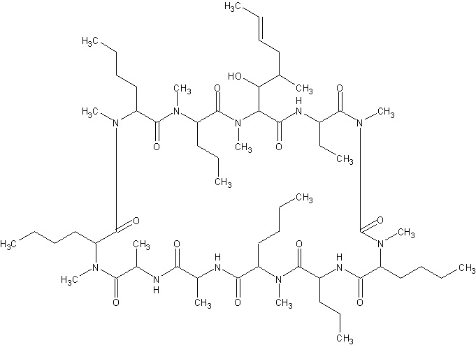
   χημική δομή  

Πόσιμο διάλυμα
Σταθερότητα σε μίγματα   Πόσιμο διάλυμα   Σταθερότητα σε μίγματα : Ciclosporin     
Δεν υπάρχουν πληροφορίες

  Mentions Légales