Seneste opdatering :
18/03/2026
Immunsuppressivum   Ciclosporin  
Oral opløsning
Injektion Salver Øjendråber
Stabilitet af farmaceutiske tilberedninger Stabilitet i blandinger Faktorer der påvirker stabiliteten Kompatibilitet Bibliografi pdf
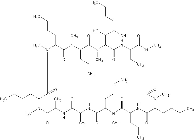
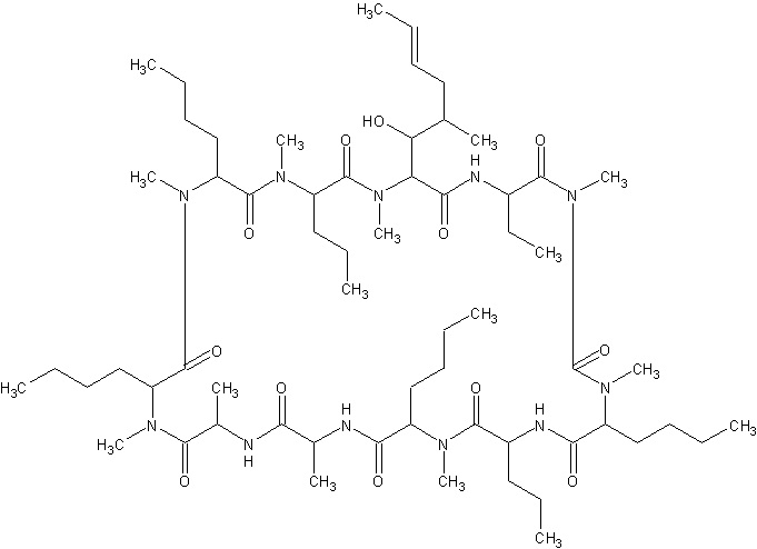
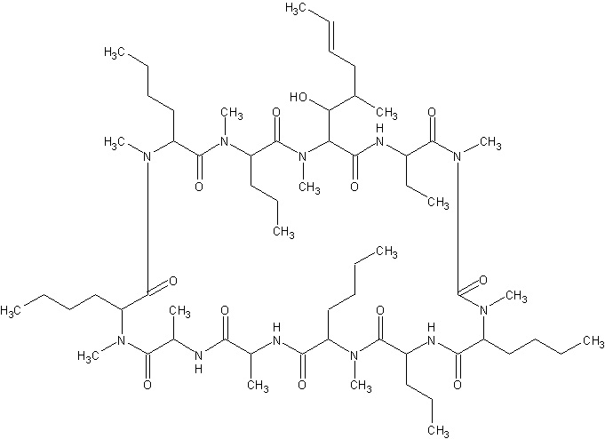
   Kemisk struktur  

Oral opløsning
Stabilitet i blandinger   Oral opløsning   Stabilitet i blandinger : Ciclosporin     
Ingen data

  Mentions Légales