Dernière mise à jour :
18/03/2026
Immunosuppresseur   Ciclosporin  
Solution buvable
Collyre Forme dermique injectable
Stabilité des préparations Stabilité en mélange Facteur influençant la stabilité Compatibilités Bibliographie pdf
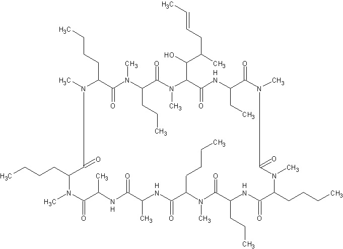
   Structure chimique  

Solution buvable
Stabilité en mélange   Solution buvable   Stabilité en mélange : Ciclosporin     
Aucune donnée

  Mentions Légales