Ultimo aggiornamento :
18/03/2026
Immunosoppressore   Ciclosporin  
Soluzione orale
Collirio Iniezione Unguenti
Stabilità dei preparati farmaceutici Stabilità in miscela Fattori che influenzano la stabilità Compatibilità Bibliografia pdf
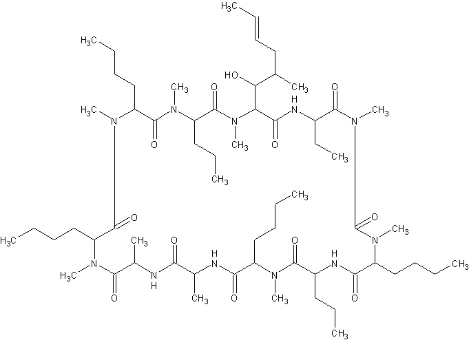
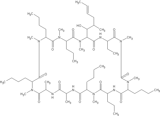
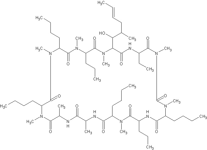
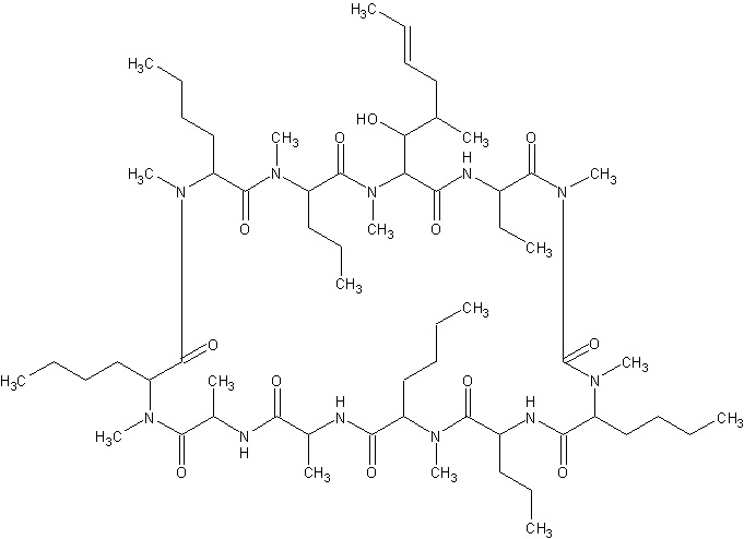
   Struttura chimica  

Soluzione orale
Stabilità in miscela   Soluzione orale   Stabilità in miscela : Ciclosporin     
Assenza di dati

  Mentions Légales