Senaste uppdateringen :
18/03/2026
Antihypertensivum   Enalapril maleate  
Oral lösning
Stabilitet av läkemedel Stabilitet i blandningar Faktorer som påverkar stabiliteten Kompatibilitet Hänvisningar pdf
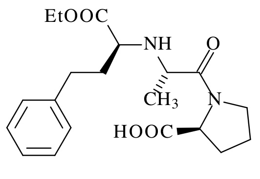
   Molekylstruktur  

Oral lösning
Kompatibilitet   Oral lösning   Kompatibilitet : Enalapril maleate              
Ingen uppgift

  Mentions Légales