Last update :
18/03/2026
Antihypertensive   Enalapril maleate  
Oral solution
Stability of pharmaceutical preparations Stability of mixtures Factors which affect stability Compatibility References pdf
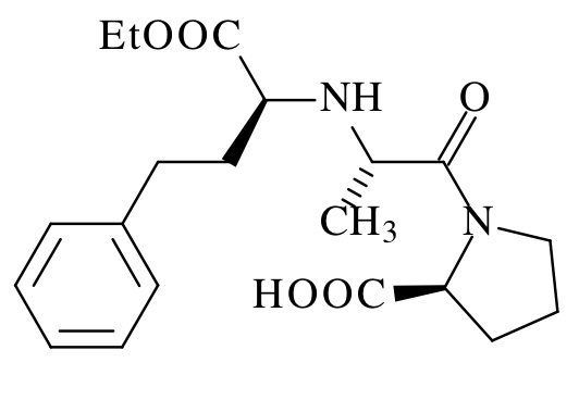
   Chemical structure  

Oral solution
Compatibility   Oral solution   Compatibility : Enalapril maleate              
No data

  Mentions Légales