Ultimele actualizari :
18/03/2026
Antihipertensiv   Enalapril maleate  
Soluţie orală
Stabilitatea preparatelor farmaceutice Stabilitatea in amestec Factorii care influenteaza stabilitatea Compatibilitate Bibliografie pdf
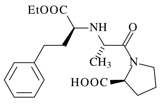
   Formula chimica  

Soluţie orală
Compatibilitate   Soluţie orală   Compatibilitate : Enalapril maleate              
Absenta de date

  Mentions Légales