Viimeisin päivitys :
18/03/2026
Verenpainelääkkeet   Enalapril maleate  
Oraaliliuos
Vakaus lääkevalmisteen Stabilius seoksissa Tekijät, jotka vaikuttavat stabiliuteen Yhteensopivuus Viitteet pdf
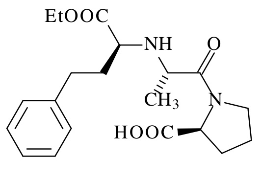
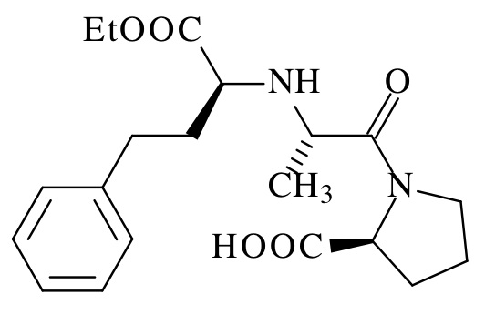
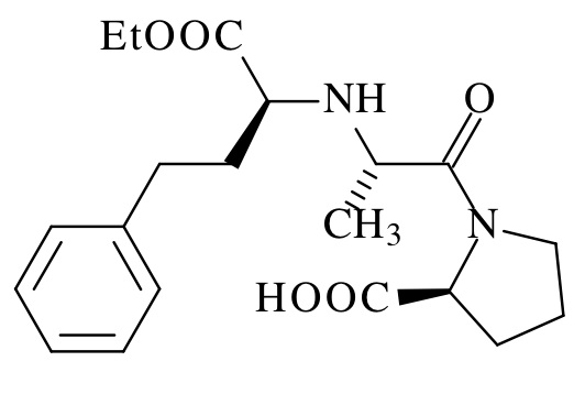
   Kemiallinen rakenne  

Oraaliliuos
Yhteensopivuus   Oraaliliuos   Yhteensopivuus : Enalapril maleate              
ei tietoa

  Mentions Légales