Pēdējā atjaunošana :
18/03/2026
Antihipertensīvs   Enalapril maleate  
Orāls šķīdums
Stabilitāte farmaceitisko preparātu Maisījuma stabilitāte Stabilitāti ietekmējoši faktori Saderība Literatūras saraksts pdf
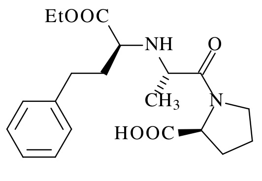
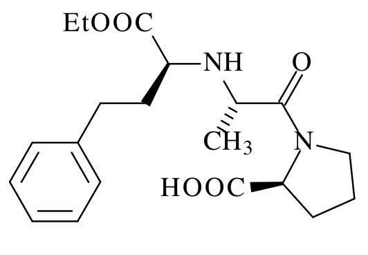
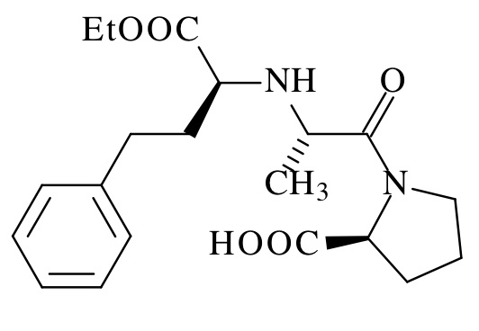
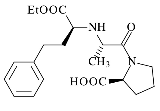
   Ķīmiskā uzbūve   

Orāls šķīdums
Saderība   Orāls šķīdums   Saderība : Enalapril maleate              
Nav datu

  Mentions Légales