Siste oppdatering :
18/03/2026
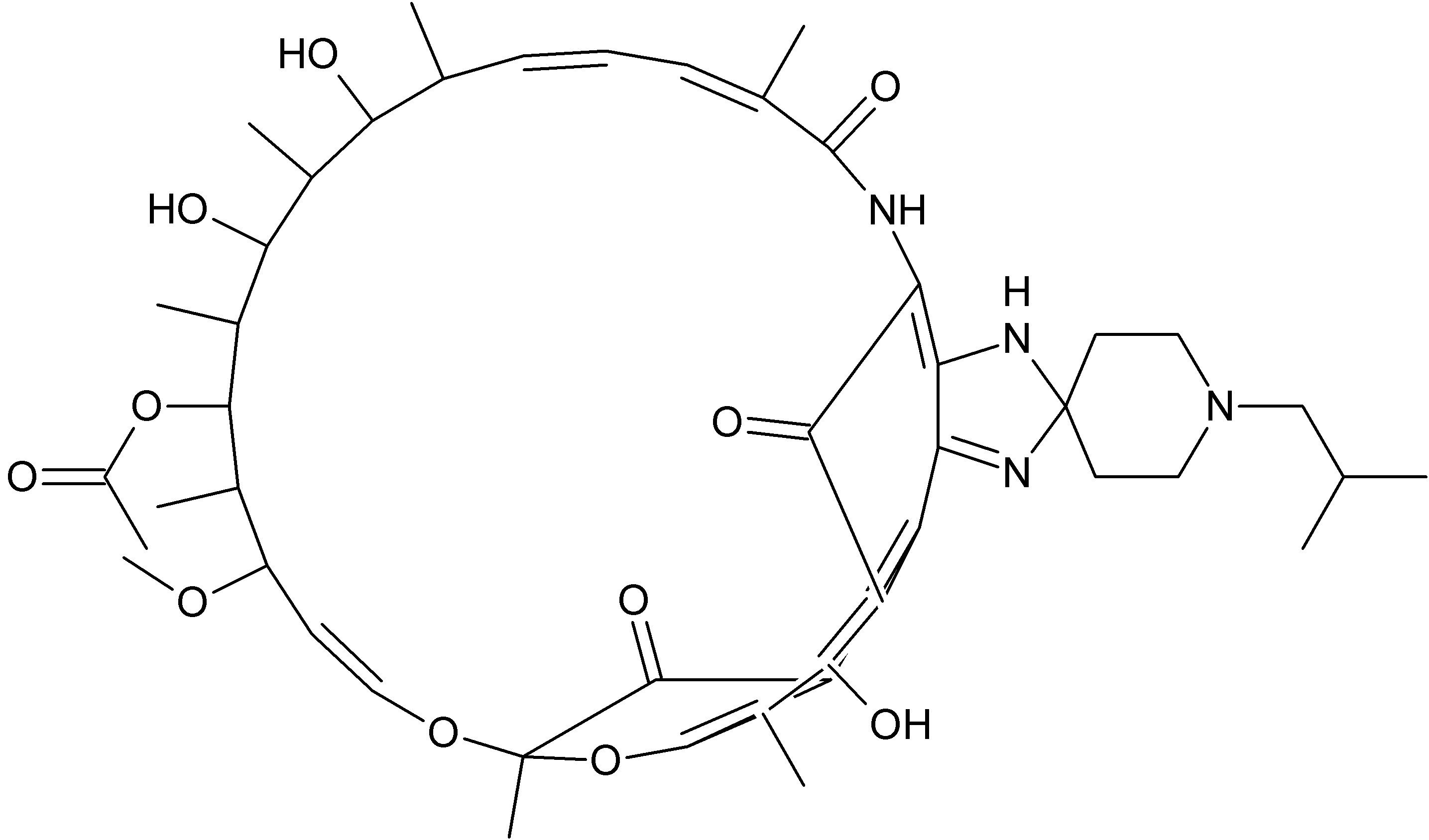
Antibiotika   Rifabutin  
Mikstur
Stabilitet av farmasøytiske preparater Stabilitet i blandinger Faktorer som påvirker stabiliteten Kompatibilitet Referanser pdf
   Kjemisk struktur  

Mikstur

Faktorer som påvirker stabiliteten   Mikstur   Faktorer som påvirker stabiliteten : Rifabutin        
Ingen opplysninger

  Mentions Légales