Utolsó frissítés :
18/03/2026
Antibiotikum   Rifabutin  
belsőleges oldat
Stabilitása gyógyszerészeti készítmények A keverékek stabilitása Stabilitást befolyásoló tényezők Kompatibilitás Irodalom pdf
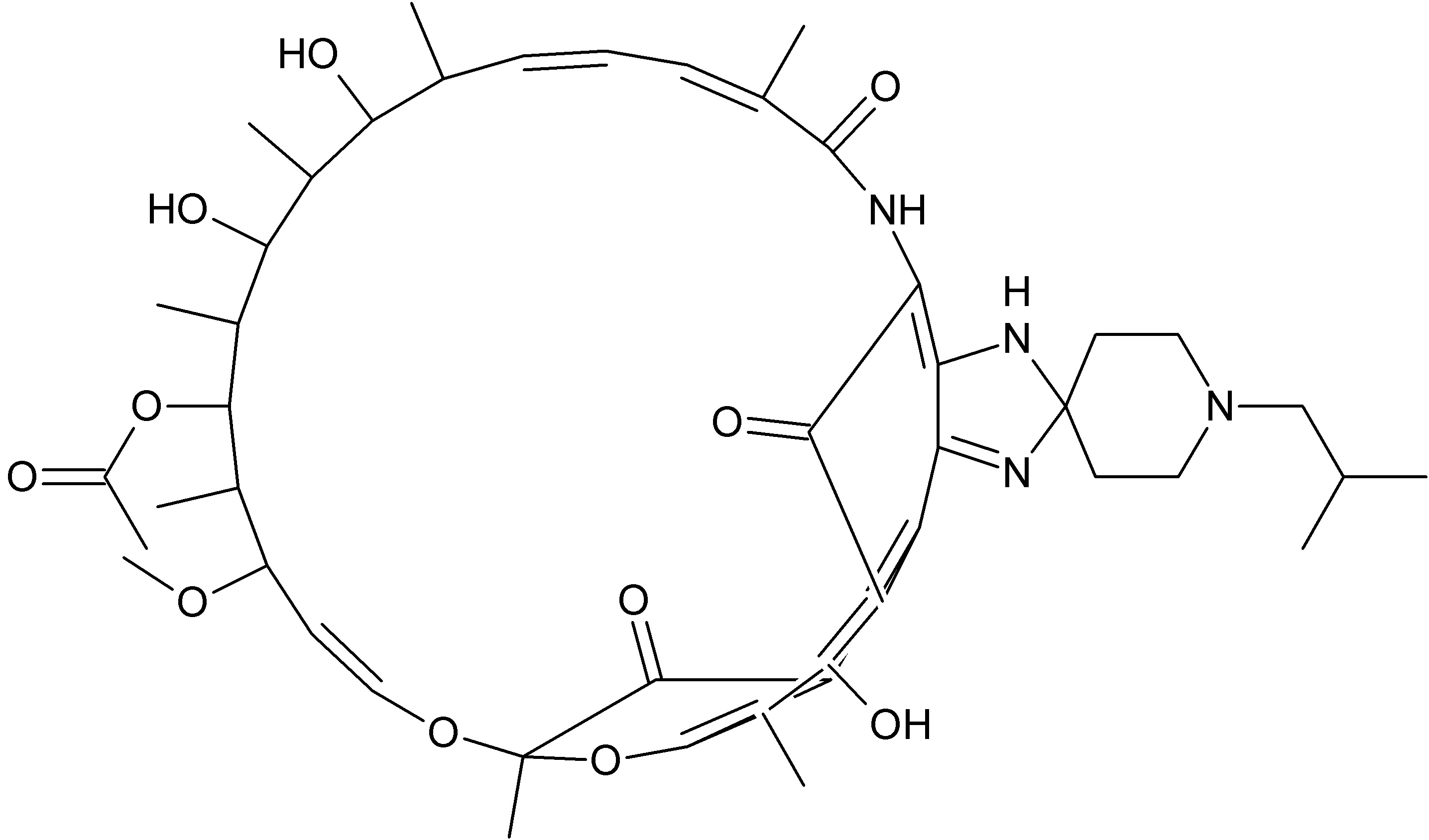
   Kémiai szerkezet   

belsőleges oldat

Stabilitást befolyásoló tényezők   belsőleges oldat   Stabilitást befolyásoló tényezők : Rifabutin        
Hiányzó adat

  Mentions Légales