Zadnji put ažurirano :
18/03/2026
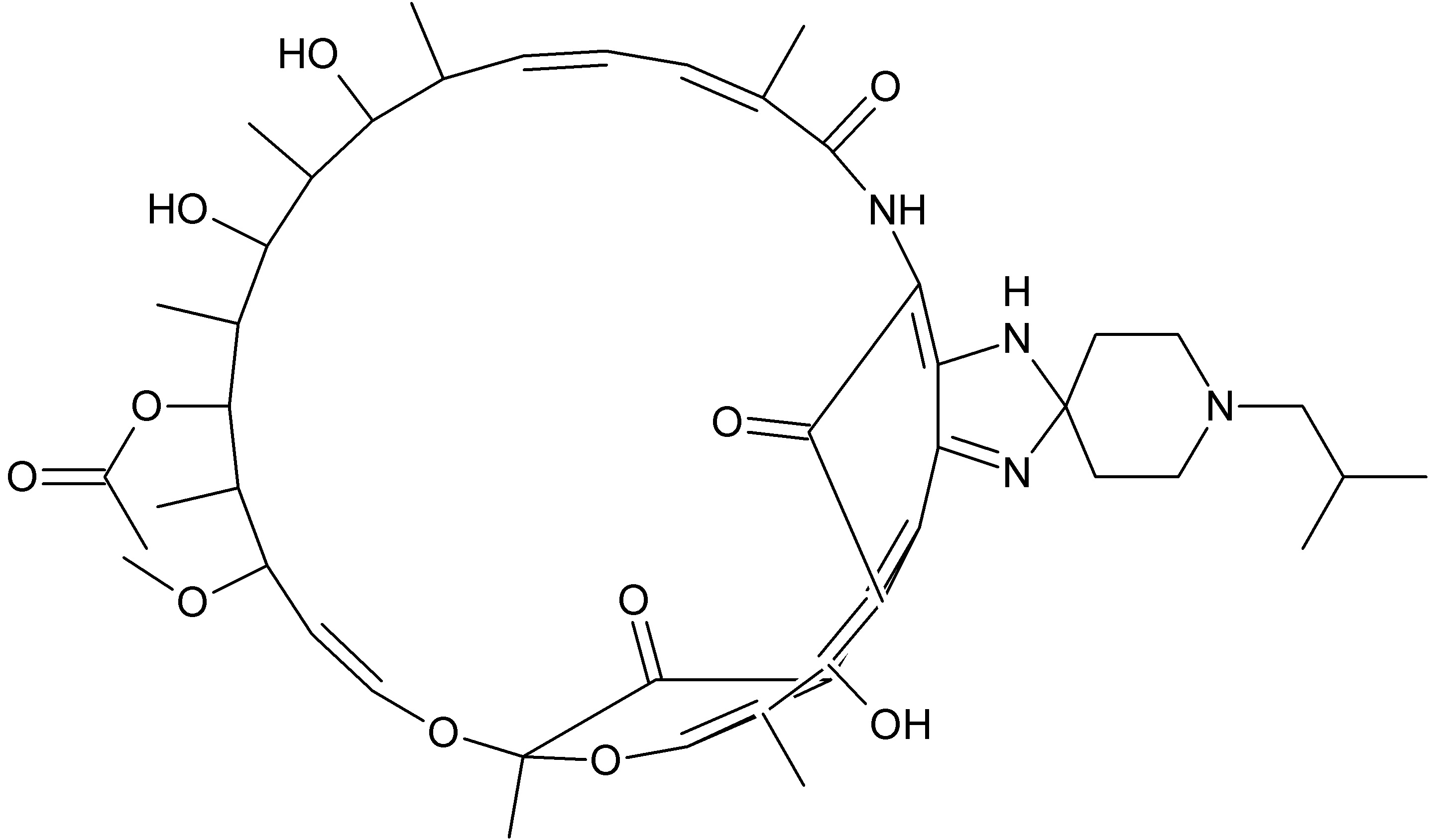
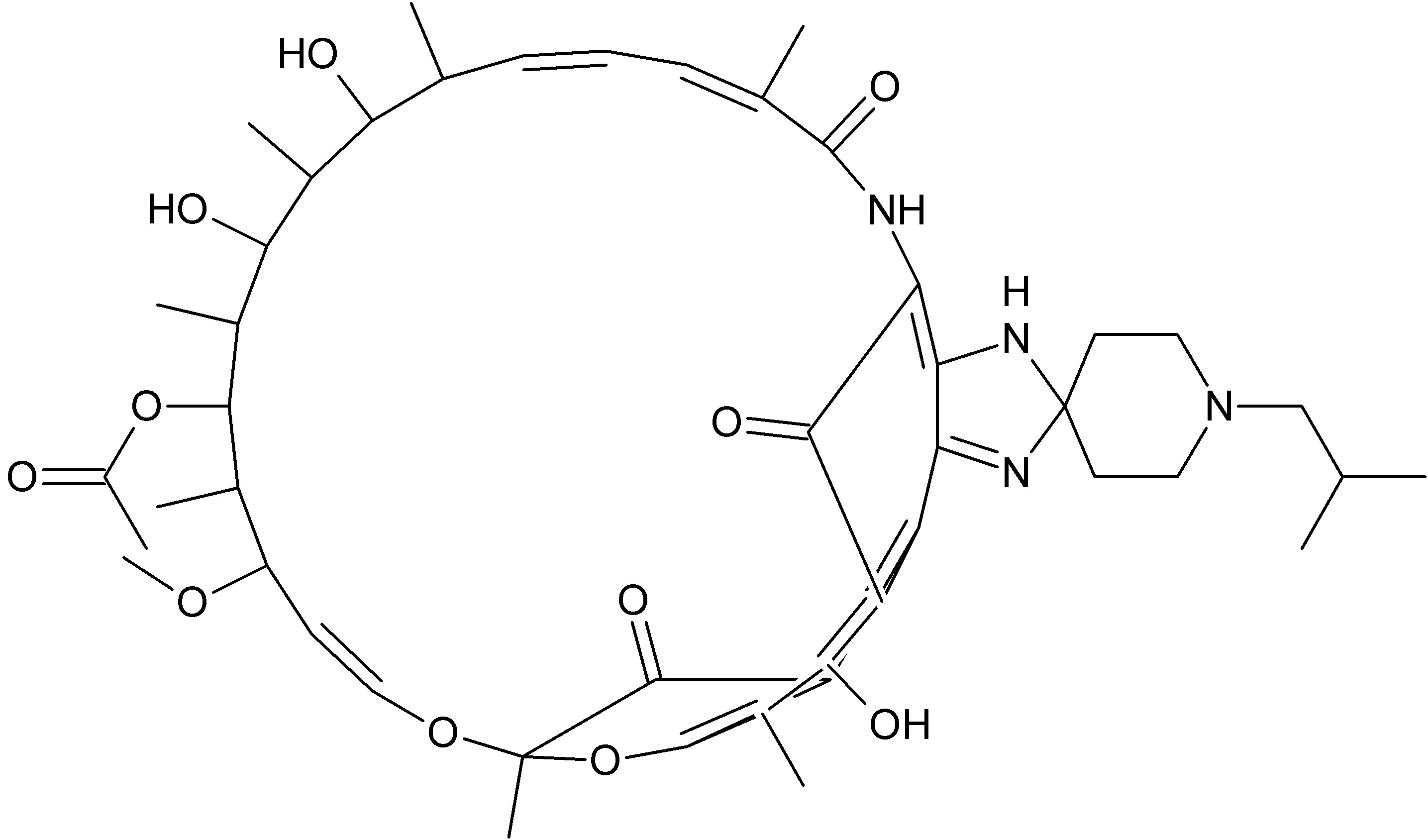
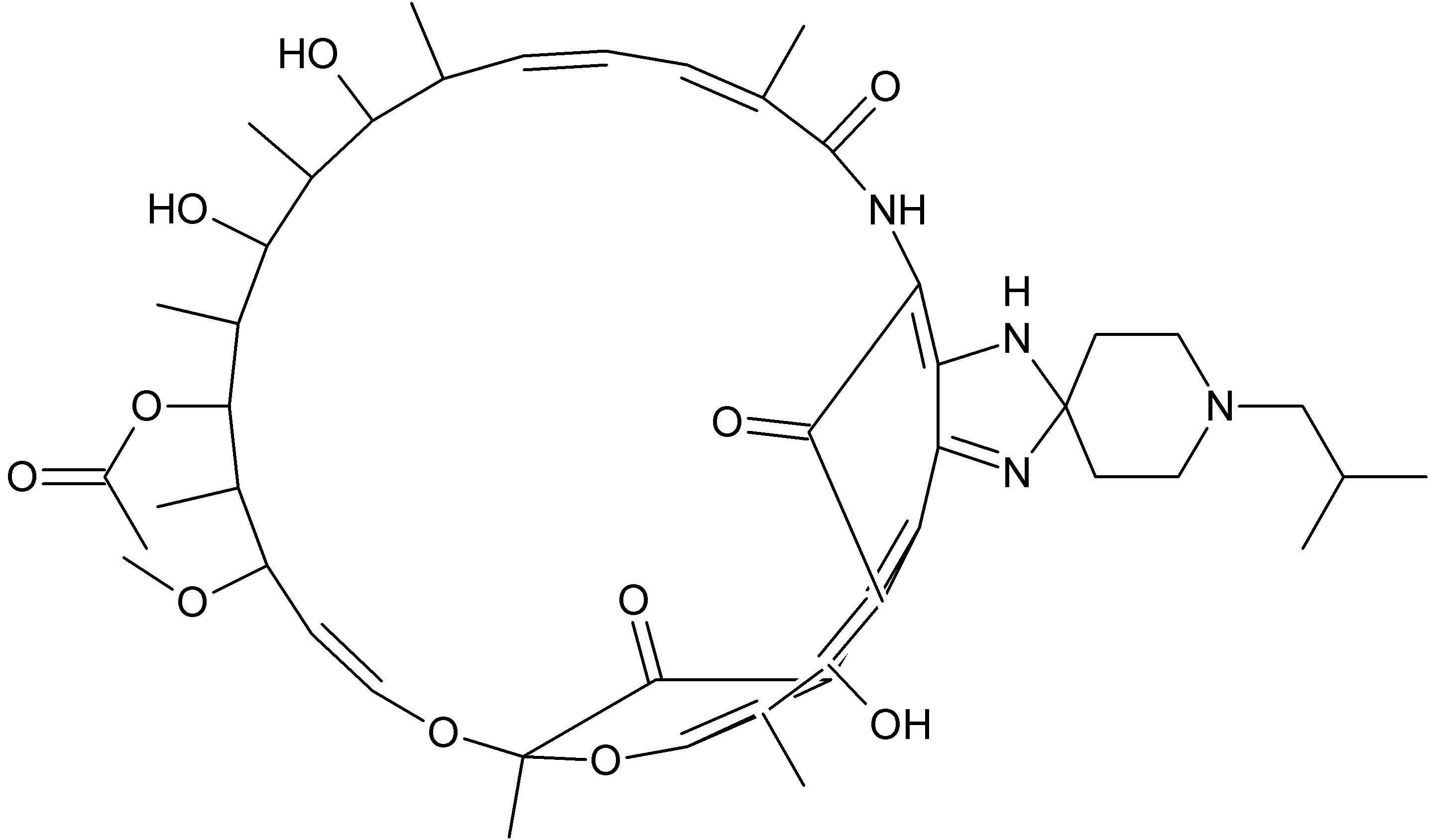
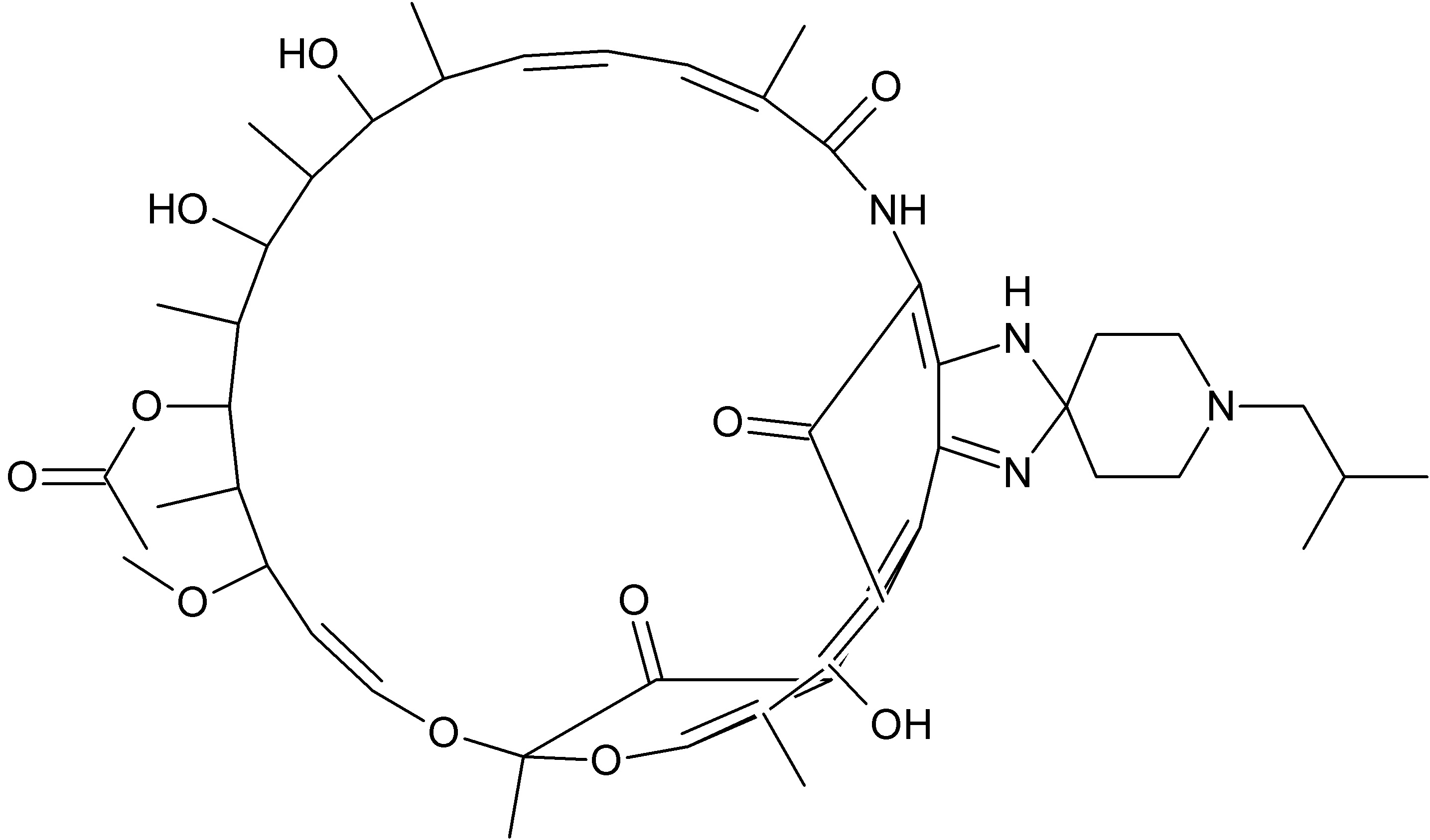
antibiotik   Rifabutin  
oralna otopina
Stabilnost farmaceutskih pripravaka Stabilnost mješavine Stabilizacijski faktor Kompatibilnosti Bibliografija pdf
   Kemijska struktura  

oralna otopina

Stabilizacijski faktor   oralna otopina     Stabilizacijski faktor : Rifabutin        
bez podataka

  Mentions Légales