Последно актуализиране :
18/03/2026
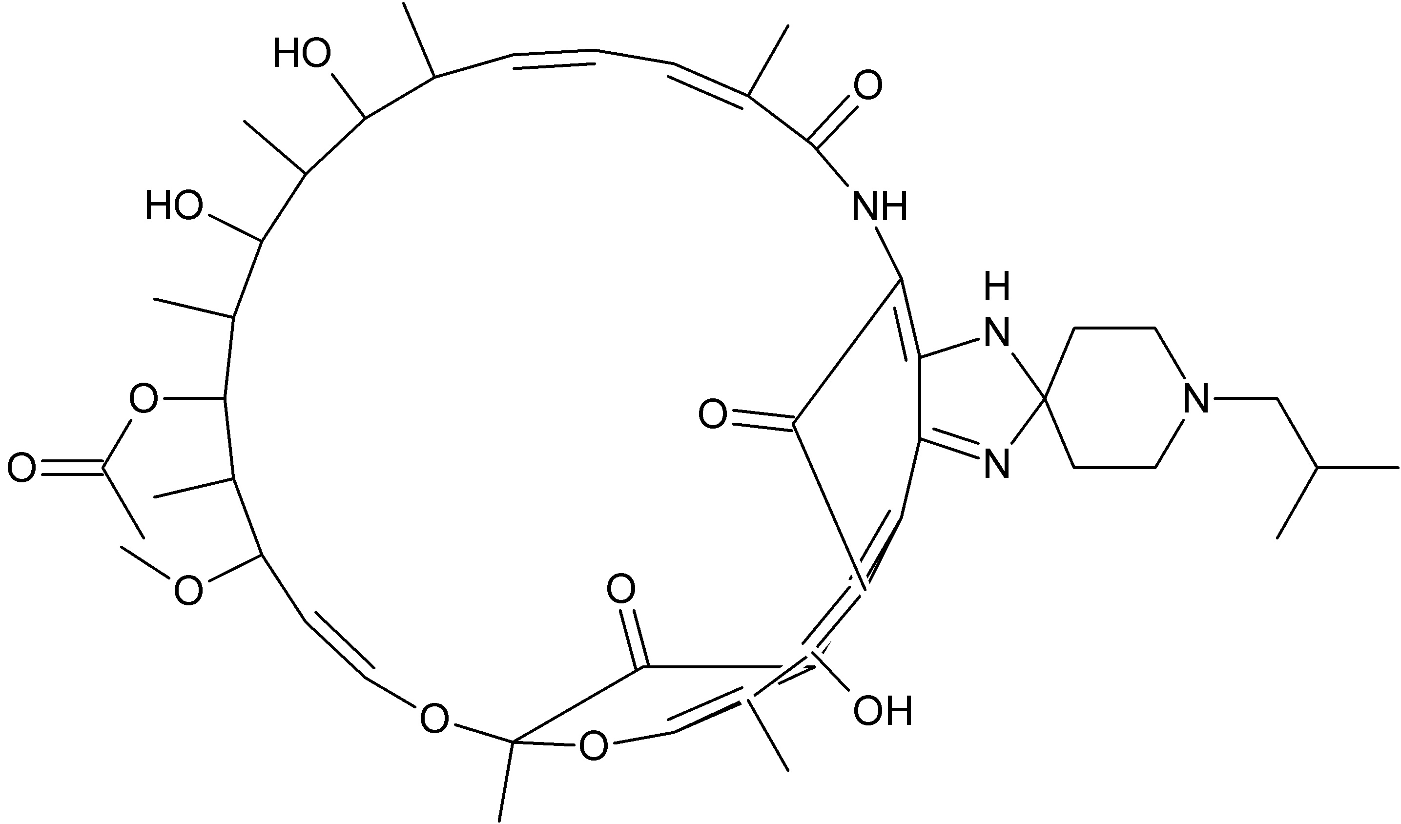
Антибиотик   Rifabutin  
Орален разтвор
Стабилност на лекарствени препарати Стабилност на смеси Фактори, повлияващи стабилността Съвместимост Библиография Pdf
   Химична структура  

Орален разтвор

Фактори, повлияващи стабилността   Орален разтвор   Фактори, повлияващи стабилността : Rifabutin        
Няма данни

  Mentions Légales