Poslední aktualizace :
18/03/2026
Antibiotikum   Rifabutin  
Perorální roztok
Stabilita farmaceutických přípravků Stabilita směsí Faktory ovlivňující stabilitu Kompatibilita Odkazy pdf
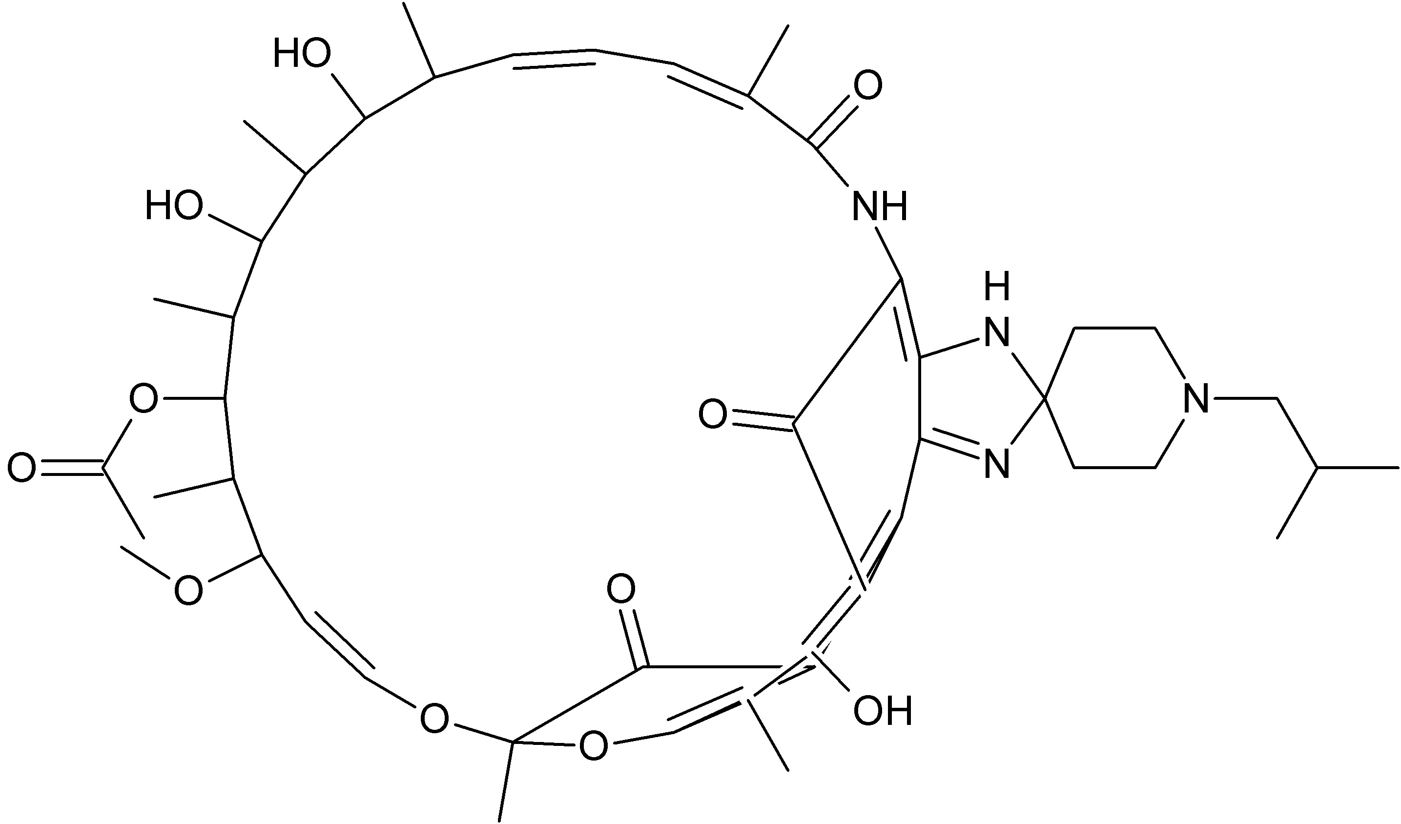
   Chemický vzorec  

Perorální roztok

Faktory ovlivňující stabilitu   Perorální roztok   Faktory ovlivňující stabilitu : Rifabutin        
žádná data

  Mentions Légales