Viimeisin päivitys :
18/03/2026
Antibiootit   Rifabutin  
Oraaliliuos
Vakaus lääkevalmisteen Stabilius seoksissa Tekijät, jotka vaikuttavat stabiliuteen Yhteensopivuus Viitteet pdf
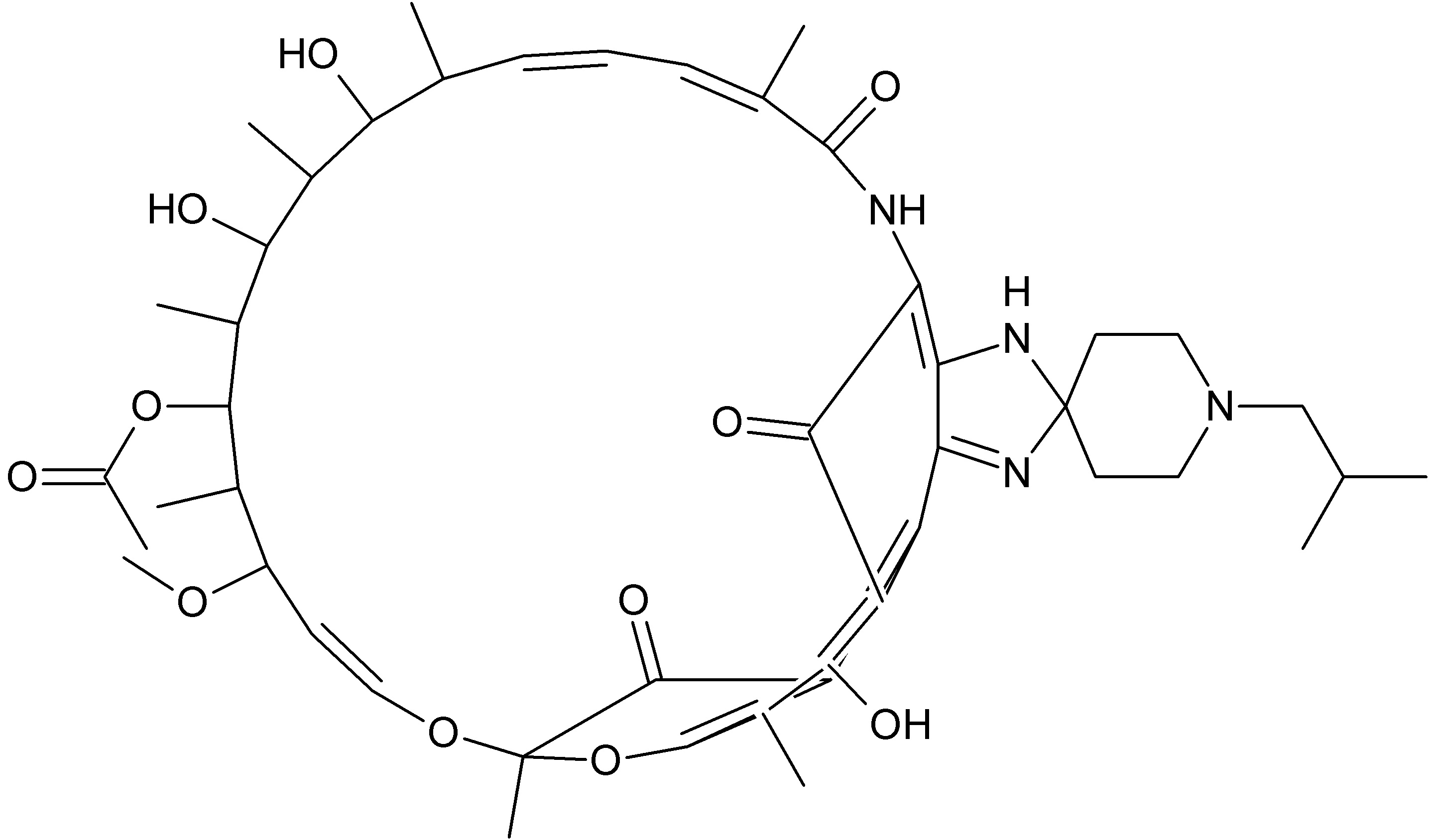
   Kemiallinen rakenne  

Oraaliliuos

Tekijät, jotka vaikuttavat stabiliuteen   Oraaliliuos   Tekijät, jotka vaikuttavat stabiliuteen : Rifabutin        
ei tietoa

  Mentions Légales