Cập nhật lần cuối :
18/03/2026
thuốc trị ung thư   Dacarbazine  
Dạng tiêm
Tính ổn định của các dung dịch Độ ổn định khi trộn lẫn Những yếu tố ảnh hưởng đến độ ổn định Khả năng tương thích Đường dùng Tài liệu tham khảo Pdf
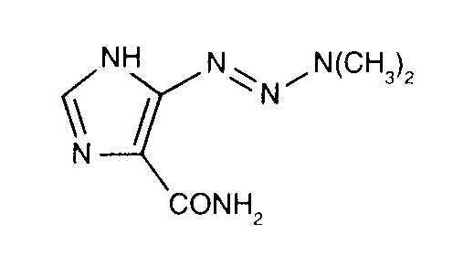
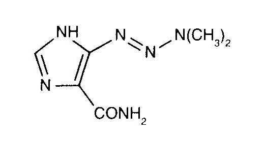
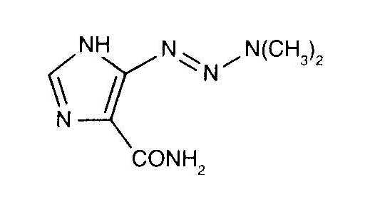
   Cấu trúc hóa học  

Tên thương mại   Tên thương mại     

Các tên thương mại được cung cấp và thành phần tá dược có thể khác nhau giữa các quốc gia và các hãng dược

Acocarb Mexico
Celdaz Ấn Độ, Peru
Dabaz Ấn Độ, Brazil
Dacarba Ấn Độ
Dacarbazin Áo, Ba Lan, Hungary, Malaysia
Dacarbazina Argentina, Brazil, Chile, Colombia, Ecuador, Mexico, Peru, Tây Ban Nha, Ý
Dacarbazine Ấn Độ, Anh, Bỉ, Canada, Hoa Kỳ, Iran, Ireland, new zealand, Thụy Điển, Úc, Đan Mạch
Dacarex Ấn Độ
Dacarin Ấn Độ
Dacarpalm Peru
Dacarzine Ấn Độ
Dacin Slovenia, Thụy Sỹ
Dacmed Ấn Độ
Daracina Colombia
Deticene Ả Rập Saudi, Bồ Đào Nha, Hà Lan, Hy Lạp, Pháp
Detimedac Colombia, Romania, Tunisia, Đức
DTIC Áo, Hoa Kỳ, new zealand
Fauldetic Bồ Đào Nha
Oncocarbil Argentina, Ecuador, Peru
Tiferomed Mexico
Đường dùng   Đường dùng :Dacarbazine     
Đường dùng
Truyền tĩnh mạch
Tiêm trong động mạch

  Mentions Légales