Letztes “update” :
18/03/2026
Antikrebsmittel   Dacarbazine  
Injektion
Stabilität der Lösung Gemengestabilität Stabilitätbeeinflussende Faktoren Kompatibilitäten Applikationsart Literaturverzeichnis pdf
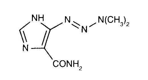
   Chemische Struktur  

Handelsmarke   Handelsmarke     

Handelsnamen sind als beispielhaft anzusehen. Sonstige Bestandteile können je nach Hersteller oder Land verschieden sein

Acocarb Mexiko
Celdaz Indien, Peru
Dabaz Brasilien, Indien
Dacarba Indien
Dacarbazin Malaysia, Österreich, Polen, Ungarn
Dacarbazina Argentinien, Brasilien, Chile, Ecuador, Italien, Kolumbien, Mexiko, Peru, Spanien
Dacarbazine Australien, Belgien, Dänemark, Großbritannien, Indien, Iran, Irland, Kanada, Neuseeland, Schweden, Vereinigte Staaten von Amerika
Dacarex Indien
Dacarin Indien
Dacarpalm Peru
Dacarzine Indien
Dacin Schweiz, Slowenien
Dacmed Indien
Daracina Kolumbien
Deticene Frankreich, Griechenland, Niederlande, Portugal, Saudi-Arabien
Detimedac Deutschland, Kolumbien, Rumänien, Tunesien
DTIC Neuseeland, Österreich, Vereinigte Staaten von Amerika
Fauldetic Portugal
Oncocarbil Argentinien, Ecuador, Peru
Tiferomed Mexiko
Applikationsart   Applikationsart :Dacarbazine     
Verabreichung
Intravenöse Perfusion
Intraarterielle

  Mentions Légales